第8章 醛酮醌
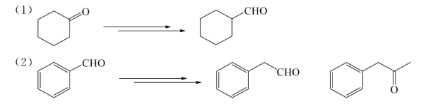
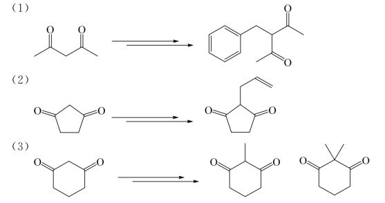
问题1 完成转化.

问题2 试用MS法确定三甲基环己酮的结构:2,4,4-三甲基环己酮还是3,4,4-三甲基环己酮?
问题3 解释实验事实.
(1)顺-1-十氢萘酮的醇溶液用碱处理,平衡后溶液中含95%的反式体和5%的顺式体.试解释之.
(2)(R)-3-甲基-2,4-己二酮在酸性介质中能够消旋化,而(R)-3-甲基-3-乙基-2,4-己二酮在酸性介质中却不能消旋化.为什么?
问题4 分离提纯
(1)由Grignard合成制得的己醛(bp 161℃)中含有少量戊醇(bp 167℃),二者沸点相近,如何提纯己醛?
(2)如何提纯胡椒醛粗品(含量<10%)?

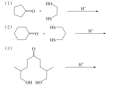
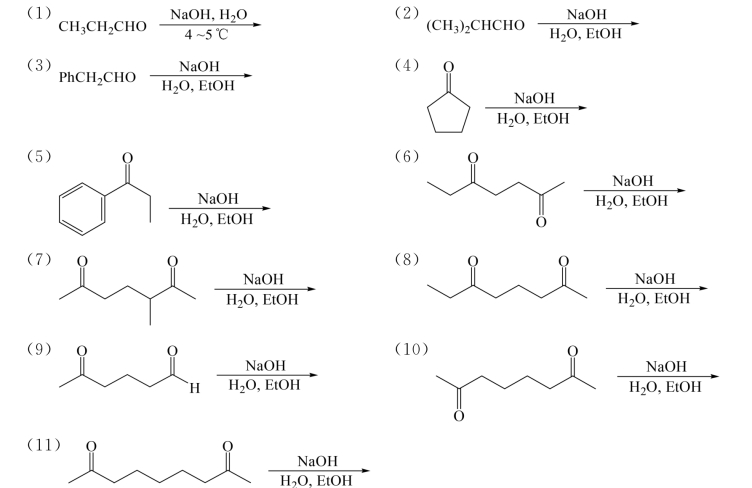
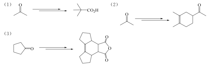
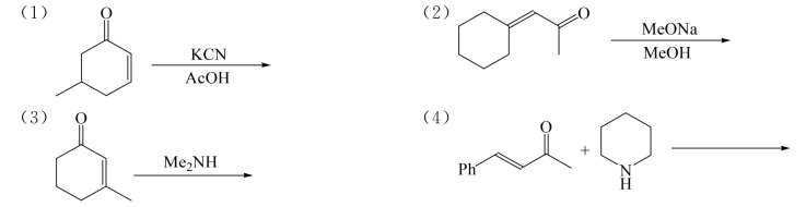
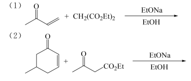
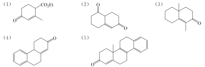
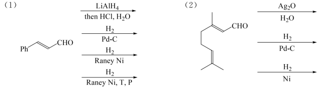
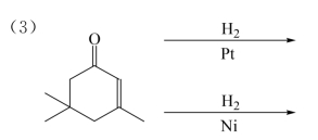
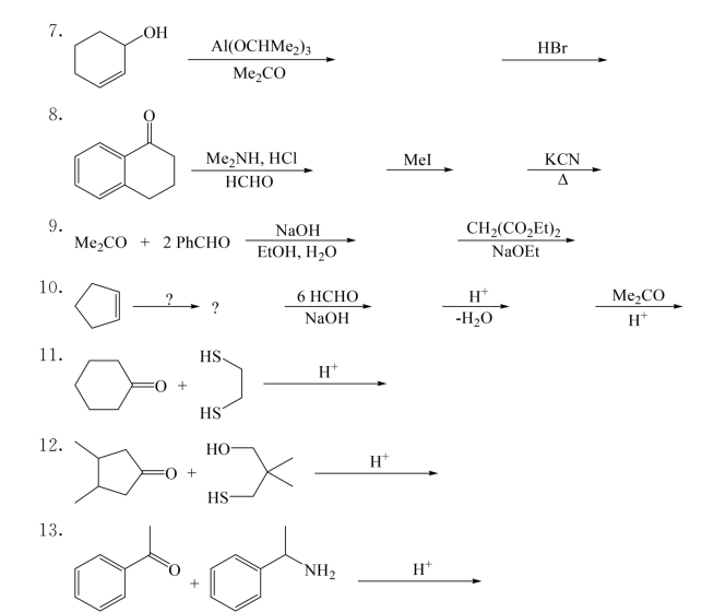
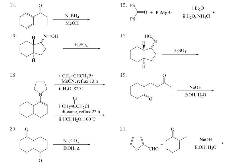
问题5 完成反应

问题6 解释实验事实:丙酮在同位素氧标记的水中放置一段时间,MS谱显示,有等量的式量60的丙酮存在.
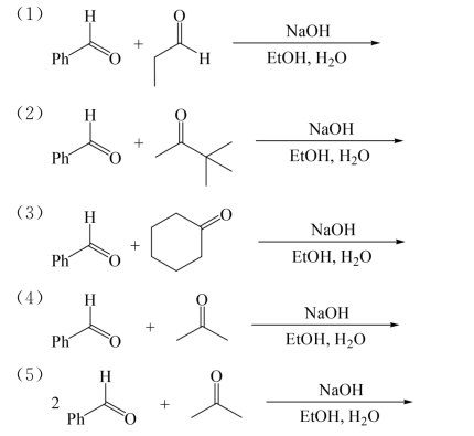
问题7 完成反应

问题8 完成反应

问题9 解释反应

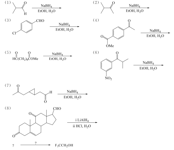
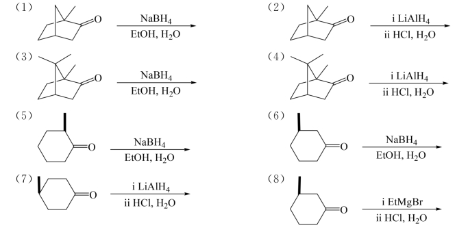
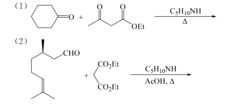
问题10 完成反应

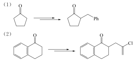
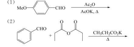
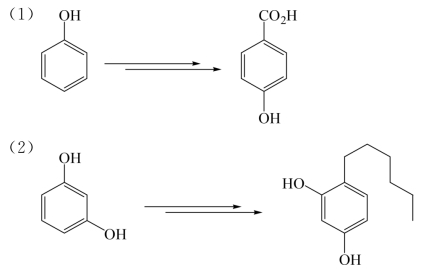
问题11 完成转化
![]()
问题12 制备缩醛,反应后要加碱使反应混合物呈碱性,然后蒸馏,为什么?
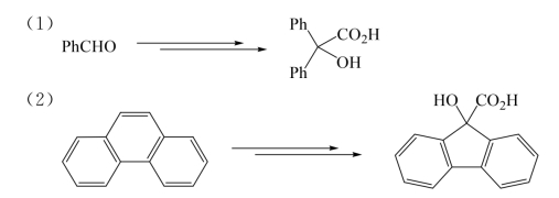
问题13 完成转化

问题14 在星际云中发现一种高度对称的有机分子(Z),在紫外辐射或加热下可转化为其他许多生命前物质,这些事实支持了生命来自星际的假说.
有人认为,Z的形成过程如下:
(1)星际分子CH2═NH聚合生成X;
(2)X与甲醛加成得到Y(分子式C6H15O3N3);
(3)Y与氨(摩尔比1∶1)脱水缩合得到Z.
试写出X、Y和Z的结构简式.
问题15 完成反应

问题16 完成反应

问题17 完成转化

问题18 完成反应

问题19 如何区别?

问题20 完成反应

(4)写出烯胺酸水解反应机理:

问题21 完成转化

问题22 完成反应

问题23 以正丁醇为基本原料合成:

问题24 完成反应

问题25 完成转化

问题26 完成反应


问题27 完成反应

问题28 完成转化

问题29 完成反应

问题30 完成反应

问题31 建议机理

(3)给出产物并建议机理

问题32 完成反应


问题33 完成反应

问题34 完成反应

问题35 建议机理

问题36 完成反应
![]()
问题37 完成转化

问题38 完成转化

问题39 完成反应
![]()
问题40 完成转化

问题41 完成反应

问题42 给出反应机理

问题43 完成反应

问题44 完成转化

问题45 完成反应


问题46 下列化合物,哪些有碘仿反应?

问题47 如何用化学方法区分2-戊酮与3-戊酮?
![]()
问题48 完成转化

问题49 完成反应

问题50 完成反应并建议机理

问题51 完成反应并建议机理

问题52 完成反应

问题53 完成反应并建议机理

问题54 盛放苯甲醛的试剂瓶口常有白色晶体,这是什么化合物?是如何产生的?(https://www.daowen.com)
问题55 完成反应

问题56 完成转化

问题57 完成反应

问题58 完成以下指定原料的合成

问题59 完成反应

问题60 完成转化

问题61 完成反应

问题62 下述反应消耗几分子氢?

问题63 完成转化

问题64 完成反应

问题65 建议机理

问题66 完成转化

问题67 完成转化
![]()
问题68 写出下述反应机理

问题69 完成反应

问题70 建议机理

问题71 完成转化

问题72 给出下述反应机理

问题73 完成转化

问题74 完成转化

问题75 完成转化

问题76 完成反应

问题77 完成反应


问题78 完成反应

问题79 选择适当原料合成:

问题80 完成反应

问题81 选择适当原料合成:

问题82 完成反应


问题83 从适当原料合成:

问题84 完成反应

问题85 建议机理

习题
一、完成反应




二、完成转化


三、合成设计


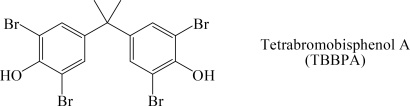
13.以苯酚和丙酮为基本原料合成阻燃剂TBBPA.

14.由环庚酮合成蜂王素(queen substance).

15.合成设计
合成含季碳的分子具有一定的挑战性.你如何合成2,2-二苯基环己酮呢?

16.目标分子TM曾被著名有机合成化学家E J Corey用作合成美登木素(一种抗肿瘤化合物)的中间体.试由简单原料合成之.

四、建议机理


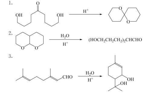
5.假紫罗兰酮(pseudoionone)在酸作用下转化成罗兰酮(ionones)并有三个异构体(α-ionone,β-ionone和γ-ionone),给出合理的机理.

6.柠檬醛在硫酸存在下产生对异丙基甲苯.试给出合理的机理.


8.β-二酮也有卤仿反应,为什么?

9.酚醛酮经碱性氧化氢氧化给出多酚,称为Dakin氧化(反应).反应是如何发生的?


五、推导结构
1.旋光化合物A(C5H12O)用铬酸氧化,经适当分离纯化得到纯净产物B(C5H10O),发现旋光性消失,与正丙基溴化镁作用后水解、分离纯化得到C(可拆分).试给出A、B和C的结构.
2.化合物A(C8H14O)能使溴水褪色,与苯肼作用产生黄色结晶.A经氧化生成丙酮和另一化合物B,后者与次氯酸钠作用产生氯仿和丁二酸.试给出A与B的结构.
3.化合物A(C9H10O)不能发生碘仿反应,其IR在1 690 cm-1处有强吸收,A的1 H NMR:δH1.2(3 H,t);3.0(2 H,q);7.7(5 H,m)ppm.另一化合物B是A的同分异构体,能发生碘仿反应,其IR在1 705 cm-1处有强吸收,1 H NMR:δH2.0(3 H,s);3.5(2 H,s);7.1(5 H,m)ppm.试给出A与B的结构并归属.
4.C5H10O
A 有碘仿反应;δH2.40(t,2 H),2.13(s,3 H),1.60(sext,2 H),0.93(t,3 H)ppm;δC208.9,45.7,29.8,17.4,13.7 ppm;νmax2 966,2 879,1 717(s),1 367 cm-1;m/z 86(20),71(11),58(10),43(100).
B 无碘仿反应;δH2.44(q,4 H),1.06(t,6 H)ppm;δC212,35.5,7.9 ppm;νmax2 979,1 716(s),1 461,1 369 cm-1;m/z 86(21),57(100),29(59.4).
5.C8H8O
A 有碘仿反应;δH7.94(m,2 H),7.68~7.32(m,3 H),2.59(s,3 H)ppm;δC197.8,137.2,133.0,128.6,128.3,26.5 ppm;νmax1 686(s),1 559,1 360,761,691 cm-1;m/z 120(26),105(100),77(73),51(23).
B 有银镜反应;δH9.95(s,1 H),7.76~7.32(dd,4 H),2.42(s,3 H)ppm;δC191.7,145.4,134.3,129.8,129.7,21.7 ppm;νmax1 704(s),1 605,810 cm-1;m/z 120(91),119(96),91(100).
6.化合物A(C8H16O3)有碘仿反应无银镜反应,但经稀酸处理后则有银镜反应.A有波谱数据:νmax1 710 cm-1;δH4.7(t,1 H),3.5(q,4 H),2.6(d,2 H),2.1(s,3 H),1.1(t,6 H)ppm.试给出A的结构.
7.化合物A(C10H12O2)不溶于氢氧化钠水溶液,对氨基脲呈阳性,但对Tollens试剂显阴性.A经硼氢化钠处理转化为B.A和B都使碘的氢氧化钠溶液产生黄色沉淀.A与氢碘酸作用产生C(C9H10O2),溶于苛性碱但不溶于稀碳酸钠.C与水合肼及氢氧化钾在乙二醇中回流得到D(C9H12O).B经高锰酸钾氧化给出E:νmax3 300~2 500,1 688(s)cm-1;δH12.7(s,1 H),7.93~7.04(dd,4 H),3.84(s,3 H)ppm.试给出A~C的结构.
8.化合物A(C9H18O2)对碱稳定,经酸性水解得B(C7H14O2)和C(C2H6O),C有碘仿反应,B与银氨溶液共热再酸化得D,后者与次氯酸钠溶液作用后酸化得E,后者与乙酸酐共热得F(C6H8O3).F有波谱数据:νmax1 755,1 820 cm-1;δH2.8(d,4 H),2.1(m,1 H),1.0(d,3H).试推导化合物A~F的结构.
9.化合物A(C7H12O)与甲基碘化镁反应、酸化后得到化合物B(C8H16O),后者与硫酸氢钾共热得到异构体C和D的混合物(C8H14).C还能通过A和亚甲基三苯基膦反应制得.D经臭氧还原分解得到E(C8H14O2),E经湿的氧化银处理转化为F(C8H14O3),F用溴的氢氧化钠溶液处理、酸化得到3-甲基己二酸.试推导A~F的结构并写出相应的反应.
10.麝香酮(muscone,C16H30O)是由雄麝鹿臭腺中分离出来的一种活性物质,可用于医药及配制高档香精.麝香酮与硝酸共热,得两种二元羧酸(P1和P2);将麝香酮以锌-汞齐/盐酸处理,得到甲基环十五烷.给出麝香酮的结构.

11.灵猫酮(civetone)A是由香猫的臭腺中分离出的香气成分,是一种珍贵的香料,C17H30O.A能与羟胺等羰基试剂作用,但不发生银镜反应.A能使溴的四氯化碳溶液褪色,B(C17H30Br2O).将A与高锰酸钾水溶液共热得C(C17H30O5).A与硝酸共热,得到两个二元羧酸:

催化氢化得D(C17H32O),D与硝酸共热得HO2C(CH2)15CO2H.推导灵猫酮以及B、C与D的结构式,并写出各步反应.