第6章 卤代烃
问题1 完成反应

问题2 完成反应

问题3 回答问题
(1)SN2 (2)SN1
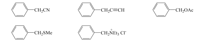
B>A>C>D~E D>E>C>B~A
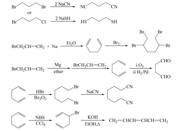
问题4 完成反应

问题5 完成反应


问题6 完成反应

问题7 完成反应

问题8 完成转化
(1)i Br2;ii EtOK,EtOH/Δ
(2)i Br2;ii EtOK,EtOH/Δ;iii H2O,H2SO4/HgSO4
问题9 完成反应

问题10 完成反应

问题11 完成反应

问题12 完成反应

问题13 完成反应问题14 完成转化


问题15 完成反应

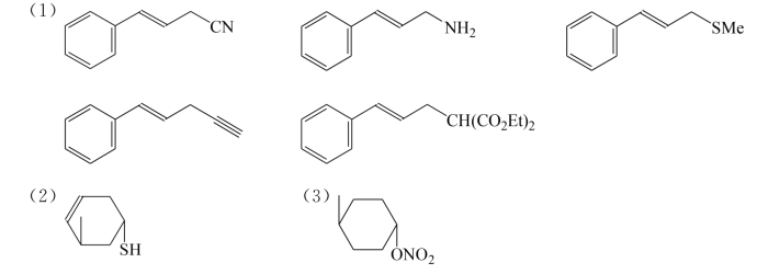
问题16 消去反应速率:
(1)C>B>D>A (2)E>D>C>B>A
问题17 完成转化
(1)i Mg/Et2O;ii D2O
i Mg/Et2O;ii H2O,HCl
(2)i LiAlH4;HCl,H2O(3)i Mg/Et2O;ii D2O
问题18 反应启动后,乙醚即刻沸腾,其蒸气迅速充满反应容器,把空气(氧气)排出.
问题19 控制卤代烃投入,使其不过量.
问题20 完成反应

问题21 完成反应(https://www.daowen.com)

问题22 完成反应

问题23 完成反应

习题
一、回答问题
1.SN2:B,D(E). 2.SN1:D,A. 3.E:D,A.
4.SN1:D,A. 5.SN,E:D,B.
6.SN2 7.SN1
A>C>B>D B>C>D>A
二、完成反应





三、由指定原料合成
1.丙烯


2.氯代环己烷

3.甲苯


4.溴苯


5.氯苯

6.由对氯三氟甲苯合成除草剂氟乐灵:

四、建议机理

五、结构推导

六、解释实验现象
1.似为单分子亲核取代,中间体碳正离子愈稳定愈易生成,反应愈快.对甲氧苯甲基正离子因甲氧基的给电子共轭效应稳定化,而间甲氧基苯甲基正离子因甲氧基的吸电子诱导效应而去稳定化.

2.EtOCH2Cl电离产生的碳正离子由于氧原子的给电子共轭效应(p-p共轭)而稳定化,因而比正丁基氯的水解快.MeOCH2CH2Cl,由于甲氧基隔一个饱和碳原子连接碳正离子而仅存在吸电子诱导效应(-I),故比丁基正离子不稳定,所以水解速度不如正丁基氯的快.
![]()
七、此为顺式消去,前者存在顺位氢.