2.4.1 单一方程的E-G(Engle-Granger)两步法
1.基于协整的三角形表述形式的E-G两步法
Engle-Granger(1987)提出了基于三角形表述形式的协整估计与检验的两步法,他最初考虑的是存在一个确定协整关系的两变量系统,该方法可以直接推广到具有单一协整关系的多个变量系统。E-G两步法简单易行,其理论奠定了协整研究的基础,实际应用时应多使用该方法。本书基于多变量情形展开讨论。
假设存在一个协整关系的n维协整系统yt=((y1t)1×1,(y2t)′(n-1)×1)′的三角形表述:

这里ut=(u1t,u′2t)′具有形式:
![]()
那么,注意到式(2-48)只有一个协整向量(1,-β′)′,对其第一个方程可应用OLS法估计参数
,
得:

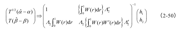
令Ω=PP′,ψ(1)P=(λ1,Λ2)′,其中λ1为n×1维向量,Λ2为(n-1)×n阶矩阵,则可证明,在原假设H0:β=0,即不存在协整关系的条件下,有:

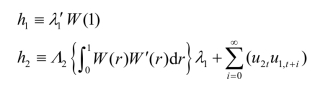
这里W(r)为n维标准布朗运动,且h1,h2分别为:

由此可知,
,
为α,β的一致估计。注意到
以速度T收敛,故称之为超一致估计量。当误差项ut出现序列相关或与向量y2t相关时,Phillips(1988)证明
仍为超一致估计量;当y2t为具有漂移的随机游走,即:Δy2t=δ+u2t时,Hansen(1992)证明,
仍为超一致估计量(
以速度T3/2收敛)。(https://www.daowen.com)
由上述理论支持,E-G两步法是指:
第一步,对式(2-48)的第一个方程应用OLS法进行估计;
第二步,对式(2-48)的OLS估计残差e1t(=
)进行平稳性检验,若et~I(0),则n维向量yt存在一个协整关系且由式(2-48)的OLS估计可得协整向量(1,-
)′。
E-G两步法简单实用,可操作性强,其不足主要有三个方面:其一,对于小样本,协整向量的OLS估计是有偏的,Banerjeer(1993)、王少平(2002)的MC仿真模拟都表明,即使样本长度为100,估计仍具有实质的偏差;其二,由于估计偏差的存在,致使检验存在偏差,同时增大了水平扭曲,这些均使得检验功效降低;其三,鉴于协整向量并不唯一,E-G两步法的处理是对yt正则化,而其中哪一个变量作为被解释变量以及变量间是否可以对等处理就产生了唯一性问题,从而对该方法来讲,也就产生了一定的局限性。
2.基于协整的ECM表述形式的E-G两步法推广
利用E-G两步法,还可以进一步得到协整的ECM模型的参数估计与检验。由Granger表述定理,任何协整关系都可以由误差校正模型(ECM)表示,且协整关系即误差修正量对变量的短期变化起调节作用,故而基于ECM也可进行协整的检验。
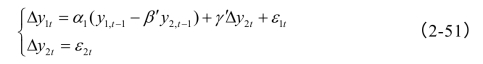
对于式(2-48)可等价由ECM表述。考虑简单形式,假设形如:

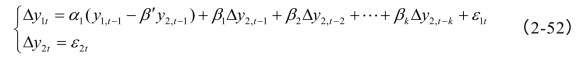
将残差e1,t-1代替误差修正项zt-1(zt-1=A′yt-1=y1,t-1-β′y2,t-1),再对模型(2-51)的参数进行OLS估计,则其估计量以速度T1/2收敛,从而确保了参数估计的一致性。进一步可以检验α1的显著性。Banerjeer(1996)提出使用F统计量进行检验H0:α1=0;Zivot(1994)则建议使用标准的tα1检验来检验α1的显著性,当原假设H0成立时,表明不存在协整关系。然而王少平(2002)研究指出,式(2-51)并非一个完整的ECM,因而上述F(或t)检验具有较低的检验功效。鉴于此,他提出了一个扩展的F检验,其考察的是完整的ECM模型:

原假设为H0:α1=β1=β2=…=βk=0,构造受约束的F统计量为:

这里RSSR表示原假设H0成立时式(2-51)的OLS回归的残差平方和,RSS0为无约束的残差平方和,k′为回归因子个数。