4.3.2 最大李雅普诺夫指数(Lyapunov Exponents)的计算
在运动稳定性研究中,Lyapunov指数是一个重要工具,借助于它可以研究混沌奇异吸引子对初始条件的敏感依赖性。最大的Lyapunov指数可以度量相空间中点的收敛或发散,正的指数表示空间是发散的,负的指数表示空间是收敛的,当指数为零时则表示轨迹变化不随时间的增加而变化,此时对应三种可能情况:准周期运动,轨线处在一个分岔点,或保守面积映射的规则运动。
计算Lyapunov指数的方法大致有三类:(1)直接基于相轨线、相平面、相体积等演化来估计Lyapunov指数的Wolf方法(最早由Wolf等人于1985年提出)。(2)基于实际应用发展起来的Jocobian方法,该方法通过求系统状态方程的雅可比矩阵,然后对雅可比矩阵进行特征值分解或奇异值分解求取系统的Lyapunov指数。(3)将前述两种方法联系起来的P-范数方法(Gyotgy Barna和Ichiro Tsuda,1993)。其中,Jocobian方法对噪声非常敏感,Wolf方法的计算结果不易受拓扑复杂性(如Lorenz奇异吸引子)的影响;P-范数方法则是一种改进的方法,如果参数P选择适当,可以避免Wolf方法与Jocobian方法共同的弱点:对非一致轨线浓度效果差以及对生物系统效果差,然而实际应用中,P-范数的选取和计算较为复杂。
经济时间序列分析中,只需计算最大Lyapunov指数[3],而小数据量法(Rosenstein,Co11ins和Deluca.1993)则是计算最大Lyapunov指数的较好方法,其特点是:计算较为简单,计算量较小,较为可靠;而且较前述方法,精度亦有所改善。本书使用小数据量法计算经济时间序列的最大Lyapunov指数。
用小数据量法计算时间序列的最大Lyapunov指数的基本步骤如下:
(1)使用本书所介绍的方法计算时间序列{xt,t=1,2,…,N}的嵌入维m和延迟时间τ,重构时间序列所对应的相空间:
![]()
(2)对于轨线上的每一个点
,寻找与之距离最近的相邻点
,记距离为:

且满足
,p为时间序列的平均周期。
(3)计算该相邻点对
的第i个离散时间步后的距离dj(i),即有:
(https://www.daowen.com)
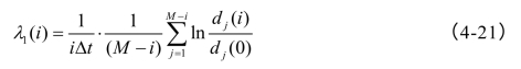
(4)对于每一个固定的离散步长i,估计最大Lyapunov指数为:

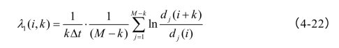
其中Δt为样本周期。为提高收敛性,Sato等人(1987)给出了一个改进式:

其中k为一常数。因此,λ1为λ1(i,k)关于i的稳定状态。
由于步骤(4)的可操作性问题,可以从最大Lyapunov指数的几何意义入手,对于每个i,求出所有lndj(i)(j=1,2,…,M-i)的平均值,记为:

其中q为
不为0的个数。
那么,应用普通最小二乘法对{(i,y(i)),i=1,2,…,min(M-j,M-
}作回归,则最大Lyapunov指数λ1大致相当于y(i)关于i的回归直线的斜率。
上述小数据量法在寻找相空间中每一点
的最近邻点
时只找距其最近的一点,而由于噪声的影响,这一点可能并非真正的最近邻点。因此,Kantz(1994)提出找间距小于邻域尺寸ε的所有邻点,用多点平均来减少噪声的影响。梁勇等(2006)基于Kantz的方法提出可变邻域的思想,即采用近邻点数目L和最大邻域尺寸ε两个参数来确定邻域点:在最大邻域尺寸ε的范围内选择最接近
的L个邻点
构成邻域,此时邻域尺寸小于ε;如果在最大邻域尺寸ε的范围内找不到足够的L个邻点,则用ε内的邻点构成邻域。如此,在相空间中不同点的实际邻域尺寸就在最大邻域尺寸ε的范围内变化,相点较稀疏的区域,邻域尺寸也不会过大。