4.3.4 Hurst指数与R/S检验
R/S检验法首先由Hurst(1951)提出,其后,Wallis 与Mandelbrot(1968,1969)以及Mandelbrot(1975)发展了该方法。R/S检验法最初用以研究分形特征,也可用以求解Hurst指数,其后则被用于检验时间序列的混合性或长记忆性。
1.R/S检验统计量
R/S检验统计量的基本计算步骤如下:
设时间序列{xt,t=1,2,…,N},定义:
样本均值为:

样本方差为:

累积离差为:

极差为:

则R/S统计量的估计值为:

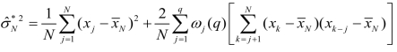
当存在短记忆和异方差的情形时,R/S统计量不具有稳健性,Lo(1991)提出修正的R/S统计量为:

其中
;
。
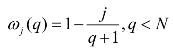
谱窗的选择也可以考虑Parzen窗(1962)[4],对于q值的选取,Andrews(1991)给出如下公式:
![]()
其中
;
为一阶自相关系数。
Lo(1991)证明,在强混合条件下,统计量:(https://www.daowen.com)

V的分布函数为:

利用上式可以获得任意水平上检验的临界值,从而通过检验Vn的显著性来确定时间序列的混合性。
对于修正的统计量,则有

2.利用R/S统计量求Hurst指数
对于时间序列{xt,t=1,2,…,N},取其中n个序列的观察值,则序列被划分为m=[N/n]个独立的长度为n的时间序列,计算各序列的R/S统计量
,i=1,2,…,m,进一步求该m个R/S统计量的平均值,可得长度为n的时间序列的R/S统计量的估计量:

对于不同的n值,可得R/S统计量序列,Mandelbrot(1979)证明:
![]()
其中C为常数,H为Hurst指数。即有:
![]()
两边取对数,可得:
![]()
由此,作出
与logn的关系图,其斜率为Hurst指数H。
3.利用R/S检验统计量确定循环周期
方法一:通过绘制log(Qn)关于logn的图形来粗略估计。对于该图,每一个循环的结尾也就是下一个循环的开始,通过图中的转折点的位置,可以估计平均的循环长度。
方法二:利用Vn统计量。当n充分大时,Vn满足:

这里H为Hurst指数。
很显然,若H=0.5,则R/S统计量是以时间的平方根标度的,过程是独立的、随机的,针对logn绘制的Vn统计量图应该是平坦的;若H﹤0.5,过程是反持久性的,图形应该是向下倾斜的;若H﹥0.5,则过程是持久性的,图形应该是向上倾斜的。当Vn图形的形状发生改变时,就产生了突变,长期记忆过程消失。通过Vn统计图,可以发现断点,检查在每一区间的Vn的最大值,从而估计每一频率的循环长度。方法二较方法一更精确。