5.2.1 秩检验方法(Rank Test)
Granger and Hallman(1991)是最早提出单位根的秩检验思想的,他们基于DF检验t统计量提出了相对应的RDF(Ranked Dickey-Fuller)检验。其思想为:首先对原始序列及其相应的秩序列分别进行ADF检验和RADF检验,然后比较上述两种检验的结果,如果函数f是线性的,则两种检验的结果相同;如果函数f是非线性的,则原始序列的ADF检验将会拒绝零假设而RADF检验则不会拒绝原假设(单调变换不影响原始时间序列的秩次)。Campbell and Dufour(1995)对简单随机游走模型的研究发现,在强白噪声的假设下,可以应用Welcoxon检验,其对变换的分布影响是不变的。Breitung和Gouriéroux(1997)系统研究了前述秩检验方法,他们基于Schmidt and Phillips(1992)给出的得分统计量提出了相应的秩得分检验量λT(uni),并推导了其分布,然后进一步讨论了改进的“逆正态得分(Inverse Normal Score)”变换的版本λT(INS)。Monte Carlo模拟表明,秩检验的小样本性质,在线性及正态性相关假设下,其功效稍差于常规检验,但较之更稳健;而对于非线性情形,则大大优于传统检验。因此,我们认为,对于非线性时间序列过程,秩检验是一个很好的工具。
5.2.1.1 RDF检验
设
![]()
其原假设为:H0={∃h(∙)为单调函数,εt~i.i.d:h(yt)=h(yt-1)+εt};备择假设为:H1={∃h(∙)为单调函数,
,εt~i.i.d:h(yt)=αh(yt-1)+εt}。
令
,将其进行均值调整或者忽略回归常数,那么相对于传统DF检验的RDF检验统计量如下:

其中
。
参数DF检验是基于事实:
![]()
其中
,0≤a≤1,W(a)为[0,1]上的布朗运动。
然而,秩序列的渐近分布并非如此,注意到单调变换不改变秩次,Breitung和Gouriéroux(1997)证明:当T→∞时,秩序列T-1r[aT],T⇒aR1+(1-a)R2,其中R1与R2为两个具有反正弦分布的独立随机变量(见Breitung和Gouriéroux,1997),从而利用该渐近分布性质可进一步推导RDF检验统计量的分布和性质。考虑到其复杂性,可利用Monte Carlo模拟。
通过分析和Monte Carlo模拟,Breitung和Gouriéroux(1997)发现,对于有限样本,RDF检验的实际水平依赖于误差分布,对于大样本,虽然其渐近分布独立于误差分布,但却会过度地拒绝原假设。并且,RDF检验也难以扩展到有漂移和相关误差情形的随机游走过程。
5.2.1.2 得分秩检验
令{xt}为观测到的时间序列,yt=f(xt)是观测序列{xt}的单调非线性变换,但函数形式f(∙)未知,所以不能直接对变换后的序列{yt}进行检验。为了得到一个不受f(∙)的形式选择影响的单位根检验,基于Schmidt 和 Phillips(1992)的得分检验原理,Breitung和Gouriéroux(1997)提出了如下的秩检验方法。
原假设为
={存在强白噪声εt,满足:Δyt=εt}。
令
,记rt为观测序列差分的归一化秩,即:
,其中T为样本容量。检验统计量为:

这是得分型秩检验统计量的一个归一化版本,其渐近分布为
,其中
为[0,1]上的布朗桥。
5.2.1.3 逆正态得分秩检验
对于原假设
,Breitung和Gouriéroux(1997)还提出了另一个秩检验统计量的版本,即基于“逆正态得分(Inverse Normal Score)”变换的版本。当随机游走的误差满足高斯白噪声序列分布,则令Rt为rt的INS变换,即
![]()
式中Φ(∙)是标准正态分布函数。秩检验统计量的INS版本为:

其渐近分布推导如下:
设随机变量X的分布函数为F(x),定义:F-1(y)=inf{x:F(x)≥y},0≤y≤1。
引理5-1 设随机变量U服从(0,1)上的均匀分布,则X=F-1(U)的分布函数为F(x)。
证明 P(X≤x)=P(F-1(U)≤x)=P(U≤F(x))=F(x)。证毕。
定理5-1 令{ε1,…,εT}为独立同分布序列,在
条件下,当T→∞,有:
![]()
证明 令
,令ξt,T为独立随机序列,满足:
![]()
则规范秩向量(Q1,T,…,QT,T)与随机向量(ξ1,T,…,ξT,T)在条件
下有相同的渐近分布。因为ξt,T与ξs,T(t≠s)的概率相等渐近可忽略,又ξ1,T,…,ξT,T渐近趋于均匀分布U(-0.5,0.5),故而Q1,T,…,QT,T亦渐近趋于均匀分布U(-0.5,0.5)。
由此,在条件
下,Q1,T+0.5,…,QT,T+0.5渐近趋于均匀分布U(0,1),由引理5-1,Rt渐近服从标准正态分布,注意到独立性与条件
,有:

最后由此可得:

证毕。
5.2.1.4 Monte Carlo仿真模拟
1.检验临界值表
为了给出各种秩检验的临界值表,可以利用Gauss编程,通过Monte Carlo模拟得到。记zt=h(yt),对于模型:
![]()
在存在单位根的原假设下,b = 1,备择假设为b < 1。为了简便,按zt=yt,εt~N(0,1),样本规模T,重复100000次生成随机游走数据。以T = 100为例,RDF统计量tα、得分秩检验统计量λT(uni)以及逆正态得分秩检验统计量λT(INS)的频率分布如图5-1所示。

图5-1 随机游走在T=100时,秩统计量tα,λT(uni),λT(INS)的频率分布
其临界值如表5-1所示。
表5-1 三种秩检验的临界值

注:对于不同样本量T,其临界值响应函数由回归模型
确定。(其中,标准误差:RDF不超过0.02,λT(uni)与λT(INS)不超过0.000195。)
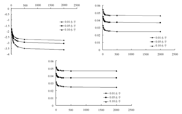
上述三个秩统计量在不同水平下的临界值随样本量T的变化如图5-2所示:
(https://www.daowen.com)
图5-2 秩统计量tα,λT(uni),λT(INS)在显著性水平0.01,0.05,0.10随样本量T的变化图
由图5-2可看出,RDF统计量的分布与DF统计量相似,在正态假设下,秩得分统计量λT(uni)与逆正态得分秩检验统计量λT(INS)的分布形态相似。由图5-2还可看出,RDF统计量,对于小样本,较λT(uni),λT(INS)更敏感;而对于大样本,其值变化也相应较大。
2.检验功效及其比较
为了考察各种秩检验统计量的检验效果,给定备择假设分别为近单位根序列(b = 0.9)和白噪声序列(b = 0)两种情形,并分别给定样本量T = 25,50,100,500,各分别模拟5000次。在显著性水平分别为α=0.01,0.05,0.10之下,得到DF检验、SP(Schmidt and Phillips)检验以及上述三种秩检验的功效,如表5-2和5-3所示。
表5-2 各检验在不同显著性水平下近单位根序列的功效值(Power)b=0.9

续表

表5-3 各检验在不同显著性水平下白噪声序列的功效值(Power)

由表5-2可看出,对于随机误差为正态分布条件下的近单位根序列,在小样本情形下,各检验的功效都非常低,DF检验明显优于其他检验;只有在样本充分大(T = 500)时,各检验统计量才有很好的检验功效。RDF统计量的功效较另两个秩检验统计量高,秩得分统计量劣于逆正态得分统计量。
由表5-3可看出,对于白噪声序列,单位根的参数检验统计量要优于秩检验统计量,RDF统计量的功效较另两个秩检验统计量高且近于参数统计量。秩得分统计量劣于逆正态得分统计量,而两者的小样本功效很低,对于T = 25的情形,仅RDF统计量基本可行。
3.不同误差分布下的样本性质
用χ2(1)与t(2)分布分别代表有偏和厚尾误差分布。以T = 100为例,注意到χ2(1)分布取值为正数,RDF统计量总为一个只与T有关的固定值,故不适合。在不同误差分布下,各单位根检验的功效与水平如表5-4所示。
表5-4 各检验在不同显著性水平单整分布下的功效值与水平值(T=100)

注:仿真模拟检验序列,检验功效取zt=εt,t=1,2,…,T,εt~χ2(2),t(2),检验水平取zt=zt+εt,t=1,2,…,T,εt~χ2(2),t (2),模拟重复5000次。
对于T = 100的情形,在0.05显著性水平下除得分秩检验稍显不足外,各检验的功效和水平都是不错的,DF检验对有偏和厚尾分布都有很高的功效和较低的水平,秩得分统计量劣于逆正态得分统计量。
对于时间序列中出现异常值(或离群值)的情形,考虑单点异常值(Additive Outlier,AO)和创新离群(Innovative Outlier,IO),假设异常发生的时点为T/2,异常值的大小为5σ。对于式(5-20)中系数b分别为1.0、0.9、0.8的三种不同取值,各种检验的拒绝频率如表5-5所示。
表5-5 各检验在显著性水平为0.05,不同系数b下拒绝频率(T=100)

由表5-5可看出,无论是单点异常值(AO),还是创新异常值(IO),秩检验统计量的检验水平相当稳健,而传统的DF检验和SP检验在样本较小且存在单点异常值时,其检验水平则会出现扭曲,因此秩检验优于传统检验。然而,对于近单位根的检验,当样本较小时,秩检验的功效却低于DF检验。
4.非线性变换的样本性质
现设序列由以下模型生成:
![]()
其中单调变换函数分别为:
![]()
以T = 100为例,在显著性水平为0.05下的拒绝频率如表5-6所示。
表5-6 各检验在显著性水平为0.05下的检测检验水平(T=100,500)

注:仿真模拟检验序列取yt=h-1(zt),zt=zt-1+εt,t=1,2,…,T ,εt~N(0,1),模拟重复5000次。
由表5-6的模拟结果可知,传统单位根检验受单调变换函数形式的影响非常明显,特别是对数变换,在5%的名义检验水平之下,却有75%以上的频率拒绝存在单位根的原假设,表明存在严重的检验水平扭曲。但是,秩检验的实际检验水平却与名义水平很接近,表明秩检验对于非线性变换相当稳健。其原因是传统单位根检验是基于线性随机游走的设定,而单调非线性变换并不影响秩检验的结果。因此,对于时间序列中的非线性变换检测,秩检验具有明显的优势。
5.具有随机误差项序列相关的场合
Schwert(1989)、Agiakloglou & Newbold(1992)的研究表明,如果随机误差项由近单位根的MA过程生成,参数单位根检验的效果很差,此时PP检验被应用于误差项存在自相关的情形,然而其检验水平却有巨大的偏误。为了考察这种状况下各种秩检验的效果,假设模型zt=bzt-1+εt中的误差项为MA(1)过程,有εt=ut-βut-1,然后使用Monte Carlo模拟,得到三种秩检验和传统参数PP检验以及SP检验的拒绝频率,如表5-7和表5-8所示。其中,对于PP检验的滞后截断,参考Newey and West(1987),取q=o(T1/4)。
表5-7 各检验在显著性水平为0.05下对MA(1)的拒绝频率(T=100)

续表

注:仿真模拟检验序列取zt=bzt-1+εt,t=1,2,…,T ,εt=ut-βut-1,uti.i.d~N(0,1),模拟重复5000次。
表5-8 各检验在显著性水平为0.05下对MA(1)的拒绝频率(T=500)

注:仿真模拟检验序列取zt=bzt-1+εt,t=1,2,…,T ,εt=ut-βut-1,uti.i.d~N(0,1),模拟重复5000次。
表5-7的结果表明,对于T =100的情形,PP检验在处理具有随机误差项序列的相关问题上要优于其他检验,但当β≥0.6时,PP检验的实际检验水平有较为严重的偏差,而秩检验的检验效果则与参数检验SP相当。对于b=0.8的情形,PP检验功效明显优于SP检验及秩检验,这一结果与Breitung和Gouriéroux(1997)的研究结果有些不一致,而对于秩检验值则基本一致。
当T = 500时,如表5-8所示,PP检验对于误差项具有序列相关的情形仍然存在明显的优势,但当β≥0.4时,其实际检验水平就出现了较为严重的偏差。对于b=0.8,秩检验基本不逊于传统检验统计量。可见,当样本量充分大时,序列相关的情形应用秩检验也是可行的,特别是对于正的序列相关,秩检验是可以胜任的。
6.主要结论
由以上分析,对于非平稳时间序列的检验,本书有如下结论:
(1)对于近单位根序列和白噪声序列的检验表明,秩检验在T较小时(≤50)的功效很差,劣于传统单位根检验,RDF检验优于其余两种秩检验;在大样本情形,秩检验与传统单位根检验则相近。
(2)对于随机干扰项分布为有偏和厚尾情形,RDF检验不适用于取值恒为正的分布序列,其余两种秩检验的检验功效和检验水平都是不错的,其中逆正态得分秩λT(INS)要优于得分秩λT(uni)。
(3)当序列中有异常值时,秩检验较传统单位根检验稳健。对于单点异常值(AO),秩检验统计量的检验水平稍优于传统检验统计量,然而其对于近单位根的检验功效要远远低于传统DF检验;对于创新离群值(IO),秩检验的效果则较差,这些问题随样本量的增大而显著改善。
(4)对于序列相关的情形,当样本较小时,秩检验不如传统的DF检验和SP检验,而当样本充分大时,秩检验基本不逊于传统检验统计量。
(5)当序列中存在非线性单调变换函数形式时,传统检验统计量的检验水平受单调变换函数形式的影响非常明显,并且随样本量的增大进一步恶化;秩检验则有理想的检验水平,且受样本量的影响不大。故而对于时间序列中的非线性变换检测,秩检验具有明显的优势。