6.4.4 结果分析

6.4.4 结果分析

本章应用传统协整检验方法与非线性协整的秩检验方法,考察了2005年以来我国股市与世界主要发达国家、“金砖五国”中三个国家股市的协同关系。通过检验可以看出,尽管我国的人民币在资本项目上还不能自由兑换,但是由于我国实体经济的发展已经在相当大程度上融入了世界经济体系,并且由于境外投资者QFII(Qualified Foreign Institutional Investors)正式登陆A股市场已逐渐发展为仅次于基金后的第二大机构投资者,使得我国的股票市场与国际股票市场的关联性逐渐显现和增强。

非线性协整秩检验的结果也表明,我国股票市场与新兴市场经济国家股票市场的关联形式,不同于与发达国家股票市场的关联方式。我国的股票市场指数与巴西、俄罗斯、印度这些新兴市场国家的股市指数之间存在线性协整关系,这可能是由于我国所处的经济发展阶段与这些新兴市场经济国家的经济发展阶段相差不大,使得各自的经济在发展过程中存在着更多的共同特征。而我国的股市指数与美国、日本、德国及英国这些发达国家的股市指数之间则存在较复杂的非线性协整关系,这可能是由于我国与发达国家所处的经济发展阶段相差较远,虽然相互之间存在很大的互补性,但却具有很不同的发展特征。

【注释】

[1]“金砖五国”来源于英文BRICS一词,是指巴西(Brazil)、俄罗斯(Russia)、印度(India)、中国(China)和南非(South Africa)五国,因这五个国家的英文名称首字母组合而成的“BRICS”一词,其发音与英文中的“砖块”(bricks)一词非常相似,故被称为“金砖五国”。 该词最早由高盛证券公司首席经济学家吉姆· 奥尼尔在2001年11月20日发表的一份题为《全球需要更好的经济之砖》(The World Needs Better Economic BRICS)中首次提出。报告中预言,BRICS将于2050年统领世界经济风骚,其中:巴西将于2025年取代意大利的经济位置,并于2031年超越法国;俄罗斯将于2027年超过英国,2028年超越德国;如果不出意外的话,中国可能会在2041年超过美国从而成为世界第一经济大国,印度可能在2032年超过日本;BRICS合计的GDP可能在2041年超过西方六大工业国(G7中除去加拿大),这样,到2050 年,世界经济格局将会大洗牌,全球新的六大经济体将变成中国、美国、印度、日本、巴西和俄罗斯。(https://www.daowen.com)

[2]一般来说,用情形1当且仅当所有的经济变量的均值为零。如果所有经济序列都没有显示出有时间趋势的表现则用情形2。对于研究的经济序列中的一些或者全部变量表现出含有时间趋势的情况,使用情形3。当且仅当所有的趋势是随机的,而如果认为其中的一些序列是趋势平稳的,则选用情形4。情形5一般不使用。

[3]信息来源:法国《世界报》2009年5月9日报道。

[4]R(SZ)是指上证综指SZ的秩,后面的表达含义相同。

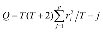
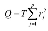
[5]Q统计量最早由Box和Pierce于1970年提出,其计算表达式为图示,其中,图示。Q统计量服从自由度为P的卡方分布。为使该统计量具有更加优良的小样本性质,Ljung和Box于1979年对其进行了改进,改进的统计量表达形式为:图示