附录
2026年01月14日
附录
附件Ⅰ:下表为上证综指(简记为:SZ)、标准普尔500(简记为:US)、日经255(简记为:JP)、法兰克福DAX(简记为:GM)、富时100(简记为:UK)、俄罗斯RTS(简记为:RR)、印度SENSEX(简记为:ID)和巴西BOVESPA(简记为:BS)自2005年1月11日至2009年3月27日的日收盘数据。
我国与欧美发达国家、金砖五国股指数据表

续表

续表

续表

续表

续表

续表

续表

续表

续表

续表

续表

续表

续表

续表
(https://www.daowen.com)
续表

续表

续表

续表

续表

续表

续表

续表

续表

续表

续表

续表

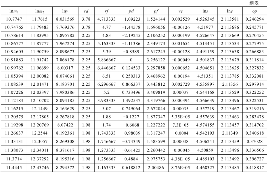
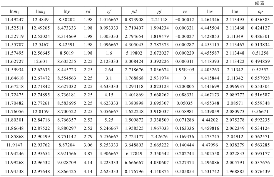
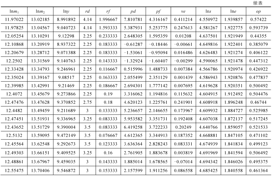
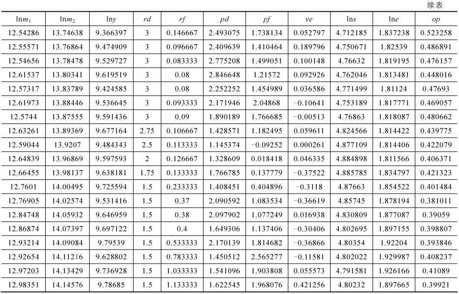
附件Ⅱ:下表为狭义货币m1,广义货币m2,社会消费品零售总额y,我国银行间同业拆借加权平均利率rd,国外利率rf,通货膨胀率pd,国外通货膨胀率pf,人民币兑美元汇率e,汇率波动率ve、实际有效汇率s,以及外贸依存度op等货币需求函数相关变量1996年1月至2008年3月的月度数据。




