习题一
1.设D ={z||z+2i|>1},则D为_____.
(A)有界多连通区域(B) 无界多连通区域
(C)有界单连通区域(D) 无界单连通区域
2.Im(iz)=_____.
(A)-Re(iz) (B) -Im(iz) (C)-Re(z) (D) Re(z)
3.当|z|≤1时,|zn+a|的最大值为_____.
(A)1+a (B)a-1 (C) 1-a (D) 不存在
4.使得z =z成立的复数z是_____.
(A)不存在的(B) 是唯一的(C) 纯虚数(D) 实数
5.下列式子中正确的是_____.
(A)-2+5i >
+2i(B)Im(-2+5i)>![]()
(C)arg(-2+5i)>arg(
+2i)(D)arg(-sin![]()
6.下列命题中正确的是_____.
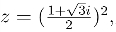
(A)0的辐角为0(B)仅有一个数z,使得z =![]()
(C)|z1+z2|=|z1|+|z2|(D)![]()
7.当|a|>1,|b|<1时,
的值_____.
(A) 大于1(B) 等于1(C)小于1(D) 为无穷大
8.i8-4i21+i=_____.
(A)i(B)1-3i(C)1(D) -1
9.设z =t+
(t为实参数),则它表示的曲线是_____.
(A) 双曲线(B) 圆(C) 椭圆(D) 抛物线
10.方程|z+2|-|z-2|=3所表示的曲线_____.(https://www.daowen.com)
(A) 双曲线(B) 圆(C) 椭圆(D) 抛物线
11.不等式0 <arg(z-i)<
所表示的区域是_________.
12.设
则arg z =__________.
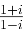
13.设xn+iyn =
则xnyn-1-xn-1yn =_________.
14.
的指数形式为_________.
15.1+sin θ+i cos θ(0 ≤θ ≤
)的三角形式为_________.
16.求下列复数的实部、虚部、模、辐角及共轭复数:
![]()
![]()
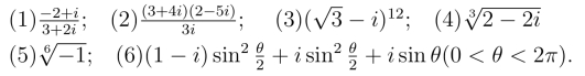
17.求下列复数的值:

18.若(1+i)n =(1-i)n试求n的值.
19.试求下列方程表示的曲线:

20.试求下列不等式表示的区域,并作图:

21.设z1,z2,z3三点适合条件:z1+z2+z3 =0,|z1|=|z2|=|z3|=1.证明z1,z2,z3是内接于单位圆|z|=1 的一个正三角形的顶点.
22.证明复平面上圆的一般方程可写为:
![]()
【注释】
[1]逆时针方向:在复平面上,一直线绕其上一点旋转,可有两种旋转方向,一种是“逆时针”,另一种是“顺时针”,一般地,我们规定逆时针方向旋转的角度为正,顺时针方向旋转的角度为负