2.1.1 复变函数的概念
复变函数的定义在形式上与一元实函数一样,只是将自变量和因变量都推广到了复数域.
定义1 设D为复平面上的非空集合[1],若有一个确定的法则存在,按照这一法则,对于D 内的每一个复数z =x+iy,都有确定的复数w =u+iv 与之对应,我们称复变数w是z的复变函数,记为
w =f(z).
其中z称为自变量,w为因变量,集合D称为w = f(z)的定义域,与D 中所有复数z对应的w值的集合G 称为w =f(z) 的值域,集合G为C的子集.
若对于D中的每个值z,都有G中唯一确定的复数w与之对应,那么我们称f(z)为单值函数; 若对于D中的每个值z,对应着w的几个或无穷多个值,我们称f(z)为多值函数.
例如,函数w =
,w =z2等都是z的单值函数; 而w2 =z,w =Argz(z
0) 是z的多值函数.
今后若无特别声明,一般所讨论的复变函数都是指单值复变函数.
和实变函数一样,复变函数也有反函数的概念.
定义2 设w = f(z)是定义在z平面点集D上的函数,G是该函数所有函数值的集合,即对于任意的z ∈D,在G内都有确定的w与之对应.反过来,对于G 中的任一点w,按照w = f(z)的对应规则,在D中总有确定的z与之对应.由函数的定义知,此时z与w之间具有函数的对应关系,记作z =f-1(w)或z =g(w).我们称z =f-1(w)为函数w =f(z)的反函数.
例如,
(ad-bc
0)的反函数为z =
其中a,b,c,d为复常数.另外,一个单值函数的反函数可能是多值的.例如,函数w =z3是单值函数,但是它的反函数
却是多值函数.
从反函数的定义可知,对于点集G中的任一点w,有w =f[f-1(w)]; 且当反函数也是单值函数时,对于D中的任一点z,有z =f-1[f(z)].
对复变函数我们需要指出,一个复变函数可以用两个二元实函数表出.因为对于任意一个给定的复数z =x+iy,通过对应法则w =f(z) 后仍然是一个复数,设实部为u,虚部为v,即w =u+iv,它们确定了u和v是以x,y为自变量的两个二元实变函数:
u=u(x,y),v =v(x,y),
函数可写为
w =f(z)=u(x,y)+iv(x,y),z =x+iy ∈D.
反过来,如果给定两个二元实函数u = u(x,y),v = v(x,y),记z = x+iy,根据上式,这两个实函数就确定了一个复变函数.
比如,给定函数u(x,y) = x2-y2+2,v(x,y) = 2xy,我们便得到一个复变函数
w =x2-y2+2+2xyi=z2+2.
复变函数的几何表示.在高等数学中,我们常把实变函数(即自变量和因变量都是实变量的函数)用几何图形在直角坐标系或空间坐标系中表示出来,如常见的一元和二元实变函数的几何图形分别是平面曲线和空间曲面.我们借助这些几何图形,可以直观地理解和研究实变函数的一些性质.但是对一个复变函数来说,它反映了两对变量u,v和x,y之间的对应关系,因而无法借助同一个平面或同一个三维空间中的几何图形表示出来.我们观察到复变函数中有四个变量,因此可通过四维空间来描述,但从直观上不易于我们理解,所以我们借助两个复平面来表示点集之间的对应关系.如(图2-1),我们取两张复平面,分别为z平面和w平面,若以z平面上的点集D表示自变量z的取值范围,而以w平面上的点集G 表示函数值w的取值范围,那么w =f(z)确定了点集D和点集G之间的一个对应关系.

在几何上,复变函数w =f(z)直观地给出了从z平面上的点集D到w平面上的点集G的一个对应关系,我们也称这两个复平面上的点集间的对应关系为点集D到G 的一个映射或变换.这个映射通常简称为由函数w = f(z)所构成的映射.点D中的点z通过w = f(z)所对应的G中的点w称为z在映射下的象,而z称为w的原象.
今后,我们不再对函数、映射与变换加以区分.
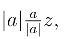
例如,函数w = z+a(a为复常数)所构成的映射,根据复数加法的几何意义,它把复平面上任一点z沿着复数a所在的方向平移了|a| 的距离.因此,它是z平面上的一个平移变换.又如函数w =az(a为非零复常数),当a >0是一个实数时,显然它是一个相似变换; 当|a| = 1且a的虚部不为0 时,则相当于把z 平面上的图形旋转一个a的辐角,这是一个旋转变换; 而当a不是实数且|a|
1时,w =az =
它是由一个旋转变换复合一个相似变换得到.若把这两个映射看成从z平面到w平面的映射,则它们都是双方单值映射.
例1 试讨论函数w =z2所确定的映射.
解 利用复数的三角形式和棣莫弗公式,令z =r(cos θ+i sin θ),则
w =z2 =r2(cos 2θ+i sin 2θ),
所以,函数w = z2把点z映射为点w时,w的模是z的模的平方,w的辐角是z的辐角增大一倍.显然,z平面上以原点为中心、2为半径的圆域D可通过该映射,变为w 平面上以原点为中心、4为半径的圆域G,即
![]()
不难看出,D到G的映射是单值的,但不是双方单值的.除了点w = 0以外,G中的每一个点w都对应着D中关于原点对称的两个点±z,因而w = z2的反函数
是一个多值函数.
若设z =x+iy,w =u+iv,通过计算,映射w =z2对应着两个实函数:
u=x2-y2,v =2xy.(https://www.daowen.com)
因此,它把z平面上的两族分别以直线y =±x和坐标轴为渐近线的等轴双曲线
x2-y2 =c1,2xy =c2
分别映射为w平面上的两族平行线(图2-2)
u=c1,v =c2.

那么如何根据映射来确定曲线的象曲线,我们介绍下面的方法:
设z平面上的曲线C在映射w = f(z)下的象为w平面上的曲线Γ,已知曲线C的方程时,曲线Γ的方程的求法如下:
在直角坐标系中,若曲线C的方程为F(x,y)=0,则曲线Γ的方程可由方程组

直接消去x和y得到.
若曲线C的参数方程为

则由

即可得到曲线Γ的参数方程

例2 求在映射w =z2下,z平面上的线段0 <r <2,θ =
被映射成w平面上的曲线的方程.
解 设z =reiθ,w =ρeiφ,则
ρ=r2,φ=2θ.
故线段0 <r <2,θ =
映射为0 <ρ <4,θ =
也是线段.
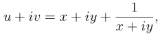
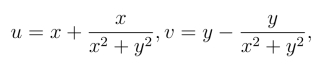
例3 试求函数w =z+
将z平面上的圆周|z|=2映射成w平面上的象.
解 令z =x+iy,w =u+iv,由映射
可得

于是

圆周|z|=2的参数方程为

所以象的参数方程为

它表示w平面上的椭圆
