直线补给边界附近的完整井

七、直线补给边界附近的完整井

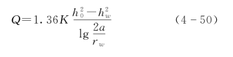
当供水或排水需要在河旁附近布置抽水井时,河水和地下水都会向井中运动(图4-20)。如井距河边的距离a小于0.5倍抽水影响半径R时,其计算公式如下:

图示

图4-20 地下水与河水向河旁潜水完整井运动

承压完整井(https://www.daowen.com)

图示

潜水完整井

图示