八、水平集水构筑物
沟或渗渠在平面上大多是窄长形的,长度B与宽度C之比大于10时称为窄长式。窄长式有以下几种情况在这里进行讨论:
(1)地下水是由沟渠的两侧渗入的(图4-21),可按裘布依公式得潜水计算公式:

(2)考虑沟渠两端宽度上的地下水渗入(图4-21),可将水流分成两部分:
1)沟渠两侧的流量仍然按照式(4-51)计算;
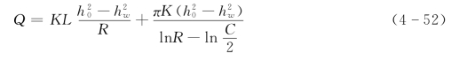
2)沟渠两端水流可分别近似作为半径等于
的半个水井,两端合起来就相当于一个水井的作用。因此,潜水计算公式为

(3)如沟渠两侧补给条件不同(图4-22),则两侧应分别计算,然后相加:Q=Q1+Q2。


图4-21 渗渠剖面图与平面图
(a)平面图;(b)剖面图

图4-22 河旁渗渠剖面图