流量与水位降深经验公式
以上各节所讨论的地下水向井中运动的理论计算公式,都是在一系列假设的水文地质条件下获得的,生产实际往往无法满足这些条件。对于水文地质条件复杂或勘探试验工作不足的地区,常采用流量与降深之间关系的经验公式来确定流量或降深值。其具体计算步骤如下:
(1)进行多次降深的稳定流抽水试验(至少3次),利用试验所得的流量(Q)和降深(Sw)资料绘Q-Sw关系曲线。
(2)根据Q-Sw曲线的形状确定经验公式的类型。
(3)确定经验公式中的各项系数。确定系数的方法有图解法和计算法两种。
(4)根据经验公式预测流量或降深。
目前生产中采用的经验公式有直线型、抛物线型、指数型、对数型4种。
1.直线型
直线型经验公式为
![]()
式(4-54)又称裘布依公式。式中Q、Sw分别为井的流量及相应的降深值;q为待定系数(也称单位流量)。如果在普通坐标纸上,以Q为纵坐标,Sw为横坐标作图,则该式为通过原点的一条直线,该直线的斜率为q值。如果利用最小二乘法计算q值,可按下式计算:

式中Qi,Sw,i分别表示第i次抽水试验时的流量和降深值;n为稳定抽水试验的落程数。
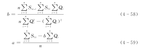
2.抛物线型
抛物线型经验公式为
![]()
式(4-56)又称凯列尔公式。式中a、b为待定系数。该式两端除以Q,得如下直线方程:
![]()
如果在普通坐标纸上,以Q为横坐标,S0(也称单位降深)为纵坐标作图,则该式为一直线,该直线的斜率为b值,其在S0轴上的截距为a值。如果利用最小二乘法计算a、b之值,可按下式计算:

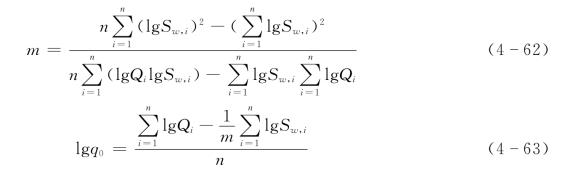
3.指数型
指数型经验公式为
![]()
式(4-60)又称斯姆列盖尔公式,式中q0和m为待定系数。将上式两端取对数则得:
![]()
如果在双对数纸上,以Q为纵坐标,Sw为横坐标作图,式(4-61)为一直线,该直线的斜率为
,其在lgQ轴上的截距为lgq0。如果利用最小二乘法计算
、q0之值,可按下式进行

4.对数型
对数型经验公式为
![]()
式(4-64)又称阿尔托夫斯基公式。式中a、b为待定系数。如果在单对数坐标系纸上,以Q为普通坐标(纵坐标),Sw为对数坐标(横坐标)作图,式(4-64)为一直线,该直线的斜率为b值,其在Q轴上的截距为a值。如果利用最小二乘法计算a、b之值,可按下式进行
(https://www.daowen.com)
将上述4种类型曲线归纳于表4-4中。
表4-4 流量与水位降深经验公式汇总表

续表

经验公式是在实际试验资料基础上建立的,它反映了试验时的水动力条件和地下水的补给和消耗间的情况。若条件变化,经验公式的系数甚至公式的类型就可能产生变化。因此,通常预测的降深值不能超过试验最大降深值的1.5~2倍。
【例4-1】 在某井中进行了4个落程的抽水试验,其结果列于表4-5中,试计算当水位降深6m时的流量。
表4-5 抽水试验资料

【解】 (1)判断经验公式类型:①根据原始资料作Q=f(S)曲线(见图4-23)。呈曲线,说明不是直线类型,而可能是其它三种曲线类型中的一种;②计算S0,lgS和lgQ,列于表4-6中。作S0=f(Q),lgQ=f(lgS),Q=f(lgS)3种曲线(图4-24~图4-26)。从以上3个图可以看出Q=f(lgS)最接近直线关系,故属于对数曲线类型,即Q=a+blgS。
(2)确定待定系数a、b:
1)图解法 在图4-26中,将Q=f(lgS)直线延长,与Q轴交于一点,得截距a=50,
=198.41
表4-6 计算数据表


图4-23 Q-S关系曲线

图4-24 S0=f(Q)图解

图4-25 lgQ=f(lgS)图解

图4-26 Q=f(lgS)图解
2)最小二乘法 计算QlgSw及(lgSw)2之值,列入表4-6。可利用式(4-65)、式(4-66)计算a、b值如下:

(3)计算Sw=6m时的流量:
1)图解法
![]()
2)最小二乘法
![]()
由以上计算结果可看出,图解法与最小二乘法所得结果比较接近。