无界含水层中有越流时地下水向承压完整井的运动
前面讨论的承压含水层其顶板和底板均为隔水层,抽水层和相邻含水层之间没有水力联系,称为无越流承压含水层。如果抽水层的顶板或底板不是隔水层,而是弱透水层,那么当抽水层抽水时,水位下降,抽出的水除了来自抽水层本身的弹性释放之外,还得到弱透水层的弹性释放补给和相邻含水层通过弱透水层的补给。这种含水层系统称为越流系统。它包括抽水含水层、弱透水层和相邻含水层。
越流系统有三大类:第一类为弱透水层的弹性储量可忽略不计,而且在抽水含水层抽水期间,相邻含水层的水位不变;第二类,考虑弱透水层的弹性储量,相邻含水层的水位保持不变;第三类,相邻含水层的水位随着抽水层的抽水而变动。我们这里仅介绍第一类越流系统中承压完整井的渗流。后两类越流系统比较复杂,目前尚无完善的解答,只有特定条件下的解,在此不作介绍。
(一)假设
如图4-32所示模型,不考虑弱透水层的弹性释放,抽水后,抽水含水层弹性释放贮存水量,相邻含水层通过弱透水层补给抽水含水层,此为第一类越流系统。假设:

图4-32 第一类越流系统含水层
(1)越流系统中每层都为均质各向同性,产状水平,等厚,平面上无限延伸。
(2)抽水含水层和相邻含水层初始水平面相等,抽水后,抽水层中水流为平面径向流。
(3)抽水后相邻含水层越流补给抽水层,但其中水位保持不变。
(4)弱透水层的弹性释放水量可忽略不计,通过其中的水流为垂向一维流。
(5)抽水层中水流服从达西定律。
(6)抽水井以定流量抽水,并为井径无限小的完整井。
在上述水文地质条件下抽水时,井的抽水量(Q)由两部分组成:一是由于水位降低,抽水含水层本身的弹性释放量;二是在抽水含水层与相邻含水层之间的水位差S作用下,来自相邻含水层的越流补给量。随着抽水时间的延续,水位差增大,降落漏斗扩展,使越流补给量在井的抽水量中所占比重也逐渐增大。当井的抽水量与越流补给量相等时,抽水含水层的降落漏斗达到稳定,抽水含水层不再释放储存量。
为了便于研究,引进有关参数:
越流补给强度ε:抽水含水层和供给越流的相邻含水层之间的水头差为S时,在单位时间内,单位水平面积上,相邻含水层通过弱透水层补给抽水含水层的水量,可表示为
![]()
式中 K′,M′——弱透水层的垂向渗透系数和厚度。
令
为弱透水层越流系数,其含意为:水头降低一个单位时,单位时间内,单位水平面积上,相邻含水层通过透水层补给抽水含水层的水量,量纲为1/T。
令
,称为越流因素,量纲为L。
越流因素(B)的作用与越流系数(b)相反,b值越小,B值就越大,越流补给作用越弱。
(二)汉图什—雅各布公式
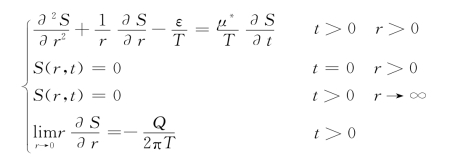
在上述假设条件下,可应用承压完整井非稳定流运动基本微分方程,结合相应的初始条件和边界条件,构成一个理想的数学模型:

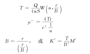
该数学模型的解为

以
代表其积分值,则有

式中
——第一类越流系统定流量抽水的井函数,可查表4-9。(https://www.daowen.com)
式(4-94)是汉图什和雅各布在1955年建立的有越流补给承压完整井的非稳定流公式,也称汉图什-雅各布公式。
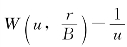
根据井函数
可在双对数坐标纸上绘制
理论曲线(标准曲线)(附图2),确定u和
值后,亦可在标准曲线上确定相应的井函数值。
从式(4-94)与泰斯公式可见,在有越流补给的情况下,地下水的水位下降值较相同条件但无越流补给情况下的值要小。两者间的差异和抽水时间(t)、断面位置(r)以及弱透水层的情况有关。t越大,r越大,差异值亦越大。弱透水层的垂向渗透系数(K′)越大,厚度(M′)越小,差异值越大。
附图2亦清晰地反映了上述特点。抽水初期t值很小时,曲线与泰斯标准曲线基本重合,表明这时井中的抽水量几乎完全是消耗抽水层的储存量。随着抽水延续,降深增大,降落漏斗范围不断扩大,邻层通过弱透水层的越流补给量不断增大,
标准曲线便偏离泰斯曲线而位于其下方。弱透水层的越流系数越大,即阻越流系数越小,距井轴距离越远,偏离的时间越早,偏离距离也越大。到抽水后期曲线呈水平直线,即降深保持常量,达到最大值(Smax),此时表明此期间的该断面处,抽水层不再释放储存量,水流达稳定状态。如果整个渗流场均达到稳定状态时,则抽水井的抽水量完全由相邻含水层的越流补给量进行补偿。
当水流呈稳定运动时,
,上面定解问题的解为
![]()
式中
的第二类零阶修正贝赛尔函数。不同
值的
值列于表4-10。
(三)汉图什—雅各布公式的应用

1.用于动态预报
在已知水文地质参数的条件下,可在任一点处任一时刻的水位降深值或水位下降值给定时,预测抽水量。
【例4-5】 有一抽水含水层,下覆不透水的隔水边界,上伏2m厚的弱透水层,K′=0.02m/d,弱透水层上为潜水层。抽水层的导水系数T=400m2/d,贮水系数μ*=0.04,在抽水层中打一完整井并以5024m3/d的流量抽水,求抽水两天后距井100m处的水位降深。若抽水时间很长,该处的最大水位降深为多少?
表4-10
函数

【解】 已知Q=5024m3/d,T=400m2/d,μ*=0.04,M′=2m,K′=20.02m/d,t=2d。
越流因素为

两天后100m处水位降深为

查表4-9得知W(0.125,0.5)=1.38,则S=1.38m。
长时间抽水后,100m处的最大水位降深为

查表4-10得知K0(0.5)=0.9244,则Smax=2×0.9244=1.85m。
2.根据非稳定抽水试验资料确定含水层的参数
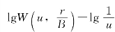
在有越流的含水层中,待求的含水层参数除了导水系数、贮水系数外,还有越流系数。常用的求解方法仍是配线法和图解法(拐点法),限于篇幅,仅介绍配线法。
原理同前,实际资料中lgS-lgt曲线和标准曲线
(附图2)的形状相似,但是纵横坐标彼此平移了
。具体步骤也相似,只是必须选用
标准曲线。将实际资料曲线lgS-lgt重叠在标准曲线(附图2)上,保持坐标轴平行移动,直至实际资料曲线与标准曲线中某一条
曲线重合为止。记下该标准曲线的
值,选一配合点,读得该点在两张对数纸上的坐标值
,S和t,按下列公式即可计算
