7.2.1 干旱胁迫对不同植物叶绿素荧光参数的影响
不同干旱胁迫程度及胁迫时期对4 种植物的叶绿素荧光参数产生了显著影响。不同的叶绿素荧光参数对干旱胁迫的响应敏感度不同,其中Fs、Fs/Fo、Yield、NPQ 对干旱胁迫比较敏感,响应程度因物种和胁迫时间不同而异。三因素方差分析结果(表7-1)表明,物种、水分处理与胁迫时期对植物叶片各项叶绿素荧光参数均有极显著影响(P <0.01),具有显著的交互效应(P <0.05),4 种植物之间具有显著的种间差异(P <0.01)。
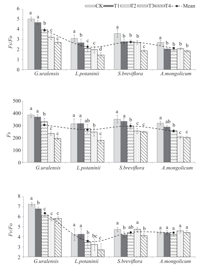
如图7-1 所示,4 种植物叶片的Fs 与Fs/Fo 均会随着干旱胁迫程度的加强和胁迫时间的延长而降低,降低幅度显著不同,其中,充分供水(CK)与轻度水分胁迫处理(T1)之间无显著差异,但严重胁迫处理(T4)下的Fs 与Fs/Fo 值与对照(CK)值相比,甘草的分别下降了49.44%、46.31%,牛枝子的分别下降了43.2%、53.31%,短花针茅的分别下降了29.78%、47.85%,蒙古冰草的分别下降了36.36%、31.91%。随着胁迫时间的延长,胁迫末期(60 d)较初期(20 d)相比较,甘草的Fs与Fs/Fo 分别下降了25.42%和7.43%,牛枝子的分别下降了62.49%和54.60%,短花针茅的分别下降了37.02%和32.13%,蒙古冰草的Fs 与Fs/Fo 值却略有上升,分别为10.53%和4.82%。可以看出,牛枝子的Fs与Fs/Fo 值变化幅度最大,其次为甘草、短花针茅和蒙古冰草。甘草和短花针茅的Fs 与Fs/Fo 值显著大于牛枝子和蒙古冰草的。
Fv/Fm 是植物叶片PS Ⅱ中心的最大光化学效率,Fv/Fo 表示光反应中心潜在光化学效率。甘草和牛枝子的Fv/Fm 和Fv/Fo 随干旱胁迫的加重呈现下降趋势,在CK 与T1 处理之间无显著差异,但与T3 和T4 处理之间存在显著差异(P <0.05),与CK 相比较,甘草和牛枝子T4 处理的Fv/Fm 和Fv/Fo 值下降幅度较大,分别为5.31%、7.05%和19.59%、35.56%。而短花针茅和蒙古冰草的Fv/Fm 和Fv/Fo 随水分胁迫的加重也呈现下降趋势,短花针茅的T4 处理与其他处理之间存在显著差异(P <0.05),但比较CK,其Fv/Fm 和Fv/Fo 值分别下降了1.99%和12.70%。蒙古冰草各处理之间的差异未达到显著水平。随着胁迫时间延长,4 种植物的Fv/Fm 和Fv/Fo 值的响应不同,胁迫末期(60 d)较初期(20 d)相比较,甘草Fv/Fm 和Fv/Fo 值无显著差异,牛枝子的分别下降了9.11%和62.45%,短花针茅的分别下降了2.64%和16.62%,蒙古冰草的略有上升,分别为3.26%和13.43%。总体上,牛枝子的Fv/Fm 和Fv/Fo 值变化幅度最大,其次为短花针茅、蒙古冰草、甘草。4 种植物之间,甘草的Fv/Fm 值最大,其次为短花针茅、蒙古冰草、牛枝子。
Yield 为实际光量子产量,反映PS Ⅱ反应中心部分处于关闭情况下的实际光能捕获效率。4 种植物的Yield 随着干旱胁迫处理程度的加剧呈降低趋势,但敏感性的强弱因物种不同有显著差异。甘草、短花针茅和蒙古冰草的Yield 值在CK 和T1 与T3、T4 处理之间差异显著,较CK,T4 处理分别降低了47.85%、15.2%和41.33%,牛枝子的Yield 值在各处理之间未达到显著差异,但T4 较CK 的Yield 值下降了16.73%。随着干旱胁迫时间的延长,甘草和蒙古冰草的Yield 值在胁迫末期(60 d)较初期(20 d)分别下降了7.67%和16.73,牛枝子和短花针茅的Yield 值在胁迫末期(60 d)较初期(20 d)则分别显著上升了27.04%和88.99%。甘草和蒙古冰草的Yield 值在处理间的变化幅度较大,4 种植物的Yield 值大小为:甘草>牛枝子>短花针茅>蒙古冰草。
qP 为光化学淬灭,是由光合作用引起的荧光淬灭,反映了植物光合活性的高低。NPQ 为非光化学淬灭,是由热耗散引起的荧光淬灭,反映了植物的光保护能力。4 种植物随着干旱胁迫处理程度的加剧qP 值呈降低趋势,而NPQ 值呈上升趋势。甘草、短花针茅和蒙古冰草的qP 值在CK 与T3 和T4 之间差异显著,较CK,T4 处理分别降低了23.76%、14.02%和46.47%,牛枝子的qP 值呈上升趋势,T4 较CK 的qP 值增加了38.16%。4 种植物的NPQ 值在CK、T1 与严重胁迫水分处理(T3、T4)之间差异显著,较CK,T4 处理的NPQ 值分别增加了5.34 倍、3.55倍、1.73 倍、2.43 倍。随着干旱胁迫时间的延长,4 种植物的qP 值略有增加,NPQ 值显著上升。牛枝子和短花针茅的qP 值和NPQ 值相对变化幅度较大,4 种植物的qP 值大小为:蒙古冰草>甘草>短花针茅>牛枝子。NPQ 值大小为:蒙古冰草>牛枝子>甘草、短花针茅。
表7-1 不同干旱胁迫处理对4 种植物的叶绿素荧光动力学参数影响的方差分析
Table 7-1 Variance Analysis of the effects of different drought stress treatments on chlorophyll fluorescence parameters of 4 plant species(https://www.daowen.com)

注:同一列不同小写字母表示同一因素不同处理之间的差异显著性(P<0.05),F 值在5%水平标注 ns 不显著,P >0.05; * P <0.05;** P <0.01。下同。
Note: Different lowercase letters in the same list indicate significant difference at 5% level between different treatments among same factors.F values are marked at 5% level:“ns”is not signifisant, P >0.05,* P <0.05,** P <0.01.The same as below.



图7-1 4 种植物叶绿素荧光动力学参数在不同干旱胁迫处理下的变化
Fig.7-1 Changes of chlorophyll fluorescence parameters of 4 plant species under different drought stress conditions.