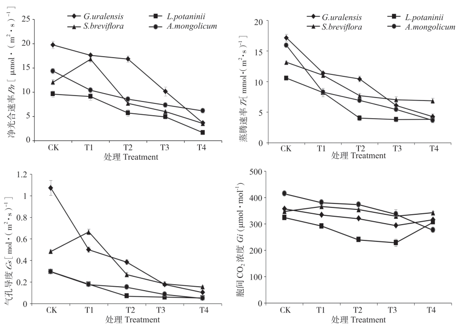
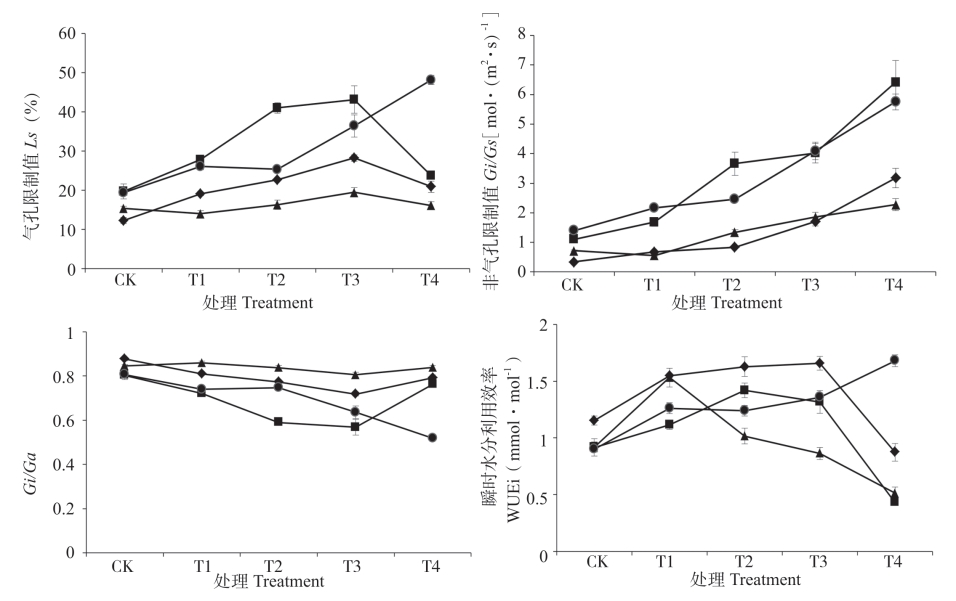
7.2.3 干旱胁迫对不同植物气体交换参数的影响
三因素方差分析结果表明(见表7-3),物种与处理对植物光合生理参数均有极显著影响和交互作用效应(P <0.01),4 种植物之间具有显著的种间差异(P <0.01)。4 种植物叶片的Pn、Tr、Gs 随着干旱胁迫程度的加强都有不同程度的降低,Ci 和Ci/Ca 值先不同程度地降低,在T4 处理又显著上升,WUEi 和Ls 先持续增加,在T4 处理又显著降低。Ci/Gs 随着干旱胁迫程度的加强一直持续增强,尤其在T4 处理下显著增加,是CK 处理下的4.96 倍。
如图7-2 所示,不同植物随着干旱胁迫程度的加强气体交换参数的变化幅度和变化方向存在显著的种间差异(P <0.01)。甘草在充分供水(CK)处理下的Pn 最高,在严重胁迫处理(T4)下的Pn 与CK 相比下降了5.45 倍;牛枝子的Pn 在T4 处理较CK 显著下降了5.85 倍;短花针茅T1 处理的Pn 值最高,之后显著降低,T4 较T1 处理显著下降了4.76倍;蒙古冰草的Pn 变化幅度较小,T4 较CK 显著下降了2.33 倍。4 个植物的Pn 大小为:甘草>短花针茅、蒙古冰草>牛枝子。在不同干旱胁迫条件下,甘草和蒙古冰草的Tr 差异变化较为相似,CK 时的Tr 值最高,分别达到17.15 mmol/(m2·a)和15.91 mmol/(m2·a),之后逐渐下降,T4 下降幅度最大,比较CK,其Tr 值分别下降了4.02 倍、4.35 倍;牛枝子和短花针茅的Tr 变化趋势相似,随着胁迫程度加深呈减小趋势,其中度至严重胁迫处理( T2、T3、T4)之间差异不显著,比较CK,T4处理的Tr 分别下降了2.77 倍、1.92 倍。4 个植物的Tr 大小为:甘草>短花针茅>蒙古冰草>牛枝子。
甘草和牛枝子的Gs 随水分胁迫的加重呈现下降趋势,其Gs 的变化幅度显著大于牛枝子,与CK 相比较,甘草和牛枝子T4 处理的Gs 值分别下降了10.7 倍和5.8 倍。短花针茅的Gs 与Pn 变化相似,T1 处理高于CK,之后显著下降,蒙古冰草的Gs 下降变化幅度较为平缓。4 种植物的Gs 值顺序为:甘草>短花针茅>蒙古冰草>牛枝子。相比Gs,4种植物Ci 值的下降变化趋势比较平缓,甘草、牛枝子和短花针茅在T4处理趋于增加,而蒙古冰草持续降低,4 种植物的Ci 大小变化表现为甘草>短花针茅>蒙古冰草>牛枝子。随着干旱胁迫处理程度的加剧,4种植物的Ls 和Ci/Gs 值呈增加趋势,其中,甘草、牛枝子和短花针茅的Ls 值在T4 处理呈降低趋势,而蒙古冰草则持续增加,且在严重水分胁迫处理下(T3、T4)增加幅度变大。4 种植物的Ls 值大小分别为:蒙古冰草、牛枝子>甘草>短花针茅,Ci/Gs 大小表现为牛枝子、蒙古冰草>甘草、短花针茅。

(https://www.daowen.com)
图7-3 4 种植物的叶片气体交换参数在不同干旱胁迫处理下的变化
Fig 7-3 Changes of leaf gas exchange parameters of 4 plant species under different drought stress treatments
表7-3 不同干旱胁迫处理对4 种植物气体交换参数影响的方差分析 (Mean±SE)
Table 7-3 Variance Analysis of the effects of different drought stress treatments on gas exchange parameters of 4 plant species

4 种植物的Ci/Ca 值随着水分胁迫程度的增强其变化趋势与Ci 相似,呈现平缓下降,甘草、牛枝子和短花针茅在T4 处理趋于增加,而蒙古冰草持续降低。甘草和牛枝子的WUEi 随着干旱胁迫程度的增强而逐渐增加,至T4 处理又显著下降,短花针茅在T1 处理下WUEi 最大,之后持续下降,而蒙古冰草的WUEi 则一直持续增加。4 种植物的WUEi 大小变化为:甘草>蒙古冰草>牛枝子、短花针茅。