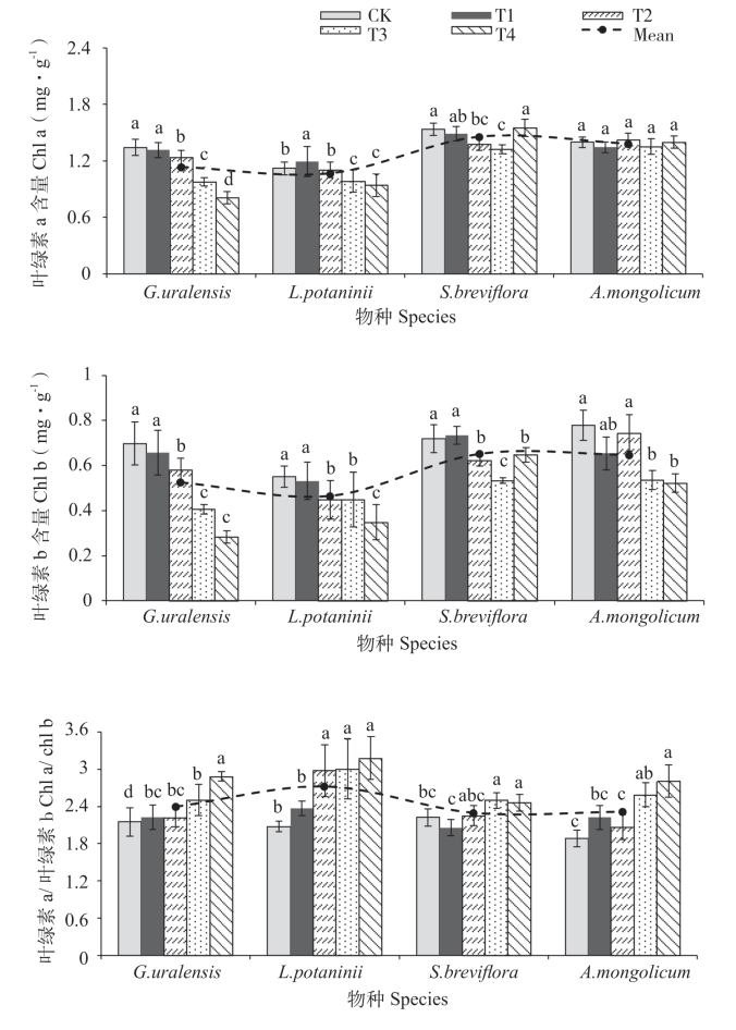
7.2.2 干旱胁迫对不同植物叶绿素各组分及类胡萝卜素含量的影响
如图7-2 所示,随着干旱胁迫强度的增加,4 种植物的叶绿素a 和叶绿素b 均持续减少,叶绿素a/b 持续增加,类胡萝卜素(Car)含量变化不一,但在各水分处理间均达到了显著性差异。随着干旱胁迫时间的延长,甘草的叶绿素a 含量和叶绿素b 含量呈现持续减少,叶绿素a/b不断增加,而类胡萝卜素(Car)含量变化差异不显著。牛枝子的叶绿素a 含量和叶绿素b 含量随着干旱胁迫强度和时间的增强呈现持续减少趋势,叶绿素a/b 在CK 至T3 处理下不断增加,在T4 处理下显著下降,类胡萝卜素(Car)含量在胁迫初期减少、中期增加,在末期含量下降。在不同干旱胁迫处理下,短花针茅的叶绿素a 含量和叶绿素b 含量也呈现持续减少趋势,但在T4 处理下又显著上升;叶绿素a/b 和类胡萝卜素(Car)含量在胁迫末期显著增加。在不同干旱胁迫处理下,蒙古冰草的叶绿素a 含量无显著差异,叶绿素b 含量在胁迫初期(20 d)无显著差异,在胁迫中后期则不断减少,叶绿素a/b 和类胡萝卜素(Car)随着土壤含水量的降低呈现增加的趋势。
经三因素方差分析结果表明(表7-2),物种、处理与胁迫时期对植物叶片叶绿素a、叶绿素b、叶绿素a/b 及类胡萝卜素(Car)含量均有极显著影响(P <0.01),也存在显著的交互效应(P <0.01),4 种植物之间仍具有显著的种间差异(P <0.01)。短花针茅和蒙古冰草的叶绿素a和叶绿素b 含量显著大于牛枝子和甘草,短花针茅和蒙古冰草的叶绿素a/b 显著小于牛枝子和甘草,短花针茅的类胡萝卜素(Car)含量显著大于牛枝子、蒙古冰草和甘草。
表7-2 不同干旱胁迫处理对 4 种植物叶绿素各组分及类胡萝卜素含量影响的方差分析
Table 7-2 Analysis of the effects of different drought stress treatments on the contents of chlorophyll and carotenoid of 4 plant species
(https://www.daowen.com)


图7-2 叶绿素a、叶绿素b 及叶绿素a/b 和类胡萝卜素含量在处理间与种间差异
Fig 7-2 Changes of chlorophyll a, chlorophyll b content, chlorophyll a/b and carotenoid content between treatments and species