9.3.3 实际对价率折算
2026年01月15日
9.3.3 实际对价率折算
由于在1 319个样本中对价支付方式涉及权证发放和非流通股股东向上市公司注入优质资产、豁免上市公司债务或替上市公司承担债务的样本量极少,因此暂不考虑。主要的对价支付方式包括送股方式、派现方式、缩股方式和资本公积金转增方式等[4],后三种方式都折算为送股方式,以便进行比较。1 319个样本中各种对价支付形式的样本数如表9-5。
表9-5 各种对价方式统计表

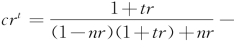
(1)资本公积转增股本方式折算对价。设每股转增比为tr,非流通股比例为nr,折算后的对价比率为crt,则有
1,进一步求简得
(https://www.daowen.com)
(2)派现方式折算对价。设每股派现额为mr,则有![]()
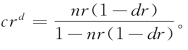
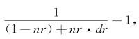
(3)非流通股缩股方式折算对价。设非流通股每股缩股比例为dr,表示非流通股的持股数缩小为原来持股数的dr 倍,则有:crd=
进一步求简得
如果一家公式非流通股股东向流通股股东支付对价同时采取送股、派现、缩股和转增等多种方式,则实际对价率crT 可表示为:crT=crs+crt+crm+crd。