第十七讲 求体积算能量应用丰富多彩
牛顿—莱布尼兹公式的用处不仅是计算面积.只要所求的量满足所积分系统的两个条件(可分性,中值性),都可以使用这个公式.
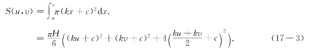
曲边梯形的面积是定积分最基本也是最简单的几何模型.实际上,根据积分系统的定义,只要是依赖于两个参数且满足可加性条件的量S(u,v),就可以考虑用定积分概念和微积分基本定理来计算它.为此先要确定一个使S(u,v)满足中值性条件的函数f(x),再找到函数F(x)使有F′(x)=f(x),就可以应用微积分基本定理求出S(u,v)=
=F(v)-F(u).
例题17-1 (旋转体的体积)设[a,b]上的函数y=F(x)的曲线在x轴上方.该曲线形成的曲边梯形绕x轴旋转一周形成一旋转体(图17-1),求此旋转体的体积.
解 如图,旋转体在平面x=u和x=v之间部分的体积S(u,v)关于参数u和v显然满足可加性.想象把这部分体积折合成高为v-u的圆柱,则圆柱的半径必在[u,v]上的两个函数值F(p)和F(q)之间,即
![]()
于是可取g(x)=πF2(x)为被积函数,得到这部分旋转体体积表达式

图17-1 曲边梯形旋转一周形成的旋转体

考虑(17-2)中F(x)=kx+c的特殊情形,设k>0,c>0,这时F(x)的图像是一线段,对应的旋转体是高为H=v-u的圆台(图17-2显示出线段旋转生成的圆台侧面).圆台体积S(u,v)的定积分表达式中被积函数是π(kx+c)2.应用114公式(命题16.5)得

图17-2 线段旋转成圆台侧面

若记上底r=ku+c,下底R=kv+c,圆台体积为V(r,R,H),则得

当r=0时得到圆锥体积公式

这和中学里所学的公式相同.
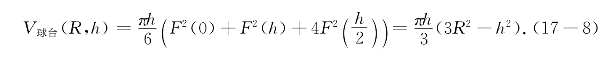
如果用SH、SL和SM分别记圆台的上底、下底和中截面的面积,则(17-3)可以写成

这个公式常常被称为拟棱柱体积公式.它不但适用于圆锥、圆台和圆柱,也适用于棱锥、棱柱和棱台.下面指出,它还适用于球台.
在(17-2)中取F(x)=
,x∈[-R,R].函数y=F(x)的图象是半径为R而圆心在原点的半圆.它绕x轴旋转一周生成半径为R的球面.如果取区间[0,h]上的一段圆弧绕x轴旋转,则生成一个下底为球的大圆而高为h的球台的侧面,如图17-3.

图17-3 圆弧旋转成圆台侧面
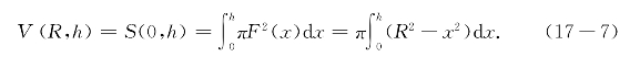
按(17-2),对应的球台体积V(R,h)为

这里被积函数是二次多项式,故可用114公式得球台体积公式

上式中取h=R得半球体积为
,从而得到我们熟知但未能严谨证明的球体积V(R)的公式

为了计算球台侧面的面积,考虑两个高相等但半径分别为R+d和R-d的两个球台之差所形成的球带壳体的体积(图17-4):

图17-4 球带壳体

再除以壳体的厚度2d,得到半径为R高为h的球带的侧面积公式
![]()
当h=R时即为半球的表面积,从而得到球的表面积公式
![]()
这些公式古希腊科学家阿基米德早已得到了.但我们的方法简单得多.值得一提的是,从(17-12)可知,高和底面直径相等的圆柱,其侧面积等于它的内切球的表面积(图17-5),这是阿基米德自己很满意的发现.更有趣的是,从(17-11)可知,若球的直径等于圆柱底面直径,则其球带或球冠侧面积等于等高的圆柱侧面积,如图17-6,直观上是很难使人相信的!

图17-5 高和底面直径相等的圆柱和它的内切球

图17-6 从与圆柱直径相等的球上割下的与圆柱等高的球冠
下面的例子,是定积分在物理中的应用.
例题17-2 将质量为m的物体Q从地面垂直提升到高度H,为克服地心引力需要做的功是多少?特别地,如将此物体发射使脱离地球引力,需要的初始速度是多大?
分析 物体Q与地心距离为x时,它所受的地心引力的大小为

这里G是万有引力常数,M是地球质量.设将物体从与地心距离为u提高到与地心距离为v时克服重力所做的功为w(u,v),w(u,v)显然满足可分性w(u,v)=w(u,w)+w(w,v);另一方面,重力随物体与地心的距离增加而减少,故有(vu)F(v)<w(u,v)<(v-u)F(u).再由F(x)差商有界性可知,若记地球半径为R,GmM=C,由(17-13)可知将物体从地面提升到高度H时所做的功应为(https://www.daowen.com)

因为
,故由牛顿—莱布尼兹公式得

比值
小于1,故无论上升多高所需要的能量不超过
;又因为当H很大时
可以任意接近于1,故可以认为此物体脱离地球引力所需要的能量为
.所以物体发射的初速V应满足

比较地面重力与万有引力公式有
![]()
从而有GM=R2g,这里重力加速度g=9.8(米/秒2),地球半径R=6371(千米)代入(17-16)得
![]()
所以,垂直向上发射的物体,在不计空气阻力时,只要初速达到每秒11.2千米,即可脱离地球引力.此即所谓第二宇宙速度.
前面讨论了曲边梯形面积的计算.更一般的情形,可以分割成几块来计算.
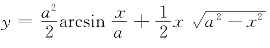
例题17-3 如图17-7,求椭圆
=1(a>b>0)的扇形AOB(图中阴影部分)的面积,进而计算椭圆面积.

图17-7 椭圆的扇形
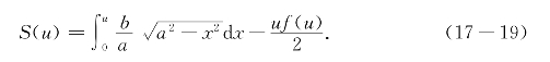
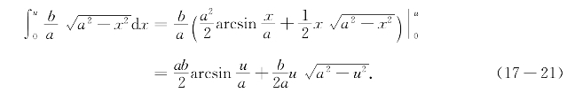
解 如图,A和B的横坐标分别为0和u(u>0),则弧AB可以看成函数f(x)
在[0,u]上的图象.于是要求的扇形的面积S(u)等于f(x)在[0,u]上的曲边梯形面积减去一个三角形的面积
:

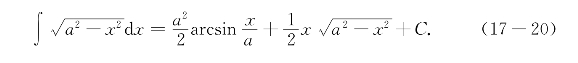
在网上可以找到的常用积分表里有这样的公式:

如果不放心,可以计算
的导数看看是不是等于
.验证无误后便用牛顿—莱布尼兹公式计算得出

上式最后一项恰为
,于是所求扇形面积为

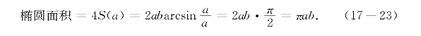
当u=a时扇形面积是半个椭圆的面积的一半,所以

下面来讨论曲线长度的计算.
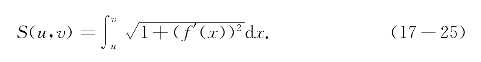
设函数f(x)在区间[a,b]上有定义,[u,v]⊆[a,b].把曲线y=f(x)在[u,v]上的这段长度记做S(u,v),则S(u,v)显然具有可加性.
如果能够进一步说明S(u,v)是[a,b]上的某个函数g(x)的积分系统,就有了计算曲线长度的办法.关键是把函数g(x)找出来.
如果曲线y=f(x)是一条斜率为k的线段,由勾股定理有S(u,v)=(v-u)
;也就是说,斜率的绝对值越大,线段越长(图17-8).

图17-8 线段长度与斜率的关系
进一步,如果曲线y=f(x)是一条折线,而对x∈[u,v],组成折线的线段的斜率为k(x),则必有[u,v]上的p和q,使
![]()
也就是说,S(u,v)应当是[a,b]上的函数g(x)=
的积分系统.把对折线情形的分析推广到曲线情形,并且注意到曲线y=f(x)在x∈[u,v]处的斜率k(x)=f′(x),便可以合理地认为,S(u,v)是[a,b]上的函数g(x)=
的积分系统.如果y=f(x)逐段强可导,则此积分系统唯一,且有:

于是[a,b]上曲线y=f(x)的弧长计算公式为

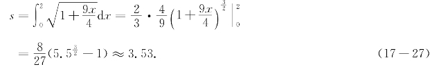
例题17-4 计算曲线y=
(0≤x≤2)的弧长(图17-9).

图17-9 曲线y=
(0≤x≤2)
解 由于f′(x)=
,故由弧长公式(17-26)知

习题17-1 函数y=
的图像是双曲线的一支.求它在[-2,2]上的部分绕x轴旋转一周生成的立体的体积(图17-10).

图17-10 双曲旋转面
习题17-2 假想从地球表面挖一条通道直达地心,一个小球从地表沿通道落下,求小球从地表到达地心所用的时间(注意在计算小球所受地心引力时,地球的质量不是常数.这是因为当小球在地表以下N米时,N米厚的地壳对小球的引力总和为0.这里假定地球是质量均匀的球体,半径R=6371千米).
习题17-3 求悬链线y=
在[0,a]部分的长度(图17-11).

图17-11 悬链线