关于资本资产定价模型的进一步讨论
资本资产定价模型是建立在严格的假设前提下的,这些严格的假设条件在现实世界中很难满足。那么,该理论有多大的应用价值呢?可以从两个方面来回答这个问题,一是放宽不符合实际的假设前提后,看该理论本身或者经过适当修改后能否基本成立;二是通过实证检验看这一理论是否能较好地解释证券市场的价格运动规律。
(一)不一致预期
如果投资者对未来收益的分布具有不同的预期,那么他们将持有不同的有效集并选择不同的市场组合。林特勒(Lintner,1969)的研究表明,不一致预期的存在并不会对资本资产定价模型造成致命影响,只是资本资产定价模型中的预期收益率和协方差需要使用投资者预期的一个复杂的加权平均数。尽管如此,如果投资者存在不一致预期,市场组合就不一定是有效组合,其结果是资本资产定价模型不可检验。
(二)多要素资本资产定价模型
传统的资本资产定价模型假设投资者关心的唯一风险是证券未来价格变化的不确定性,然而投资者通常还会关心一些其他风险,这些风险将影响投资者未来的消费能力,例如,与未来的收入水平变化、未来商品和劳务价格的变化以及未来投资机会的变化等相关的风险都是投资者可能关心的风险。
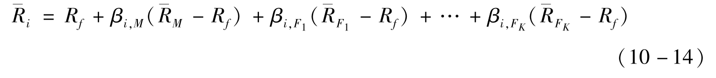
为此,默顿(Merton,1973)发展了包含“市场外”风险(要素)的资本资产定价模型,称为多要素资本资产定价模型,如公式10-14所示。

其中,Rf为无风险资产收益率;F1、F2、…、FK为第一个至第K个要素或市场风险来源;K为要素或市场风险来源的数量;为证券组合或证券i对第K个要素的敏感度;
为要素K的预期收益率。
上式表明,投资者除了因承担市场风险而要求获得补偿外,还要求因承担市场外的风险而获得相应补偿,当市场风险外的风险要素为零时,多要素资本资产定价模型就变为传统的资本资产定价模型,如公式(10-8)所示。
就传统的资本资产定价模型而言,投资者可以通过持有市场组合而规避非系统性风险,市场组合可以看作是根据相对投资额投资于所有证券的共同基金。在多要素资本资产定价模型中,投资者除了要投资于市场组合以规避市场上的非系统性风险外,还要投资于其他的基金以规避某一特定的市场外风险。虽然并不是每个投资者都关心相同的市场外风险,但是关心同一市场外风险的投资者基本上是按照相同的方法来预防风险的。
多要素资本资产定价模型承认非市场性风险的存在,市场对风险资产的定价必须反映补偿市场外风险的风险溢酬。但是,多要素资本资产定价模型的一个问题是,投资者很难确认所有的市场外风险并根据经验估计每一个风险。当综合考虑这些风险因素时,多要素资本资产定价模型与后面将要讨论的套利定价模型就非常相似。
传统的CAPM假定投资者的投资期限都是单期的,而默顿则假定投资者关心其一生的消费,并由此推导出投资者对证券的需求,因此该模型又称为跨期资本资产定价模型(ICAPM)。
(三)借款受限制的情形
CAPM模型假定所有投资者都能按相同的利率进行借贷。但在现实生活中,借款常受到限制(我国大多数投资者常面临这种局面),或者借款利率高于贷款利率,甚至在一些极端的情形下根本就不存在无风险资产。在这种情况下,预期收益率与β系数之间的关系又会如何呢?布莱克(Black,1972)对此作了专门研究,推导出借款受限制的各种情况(没有无风险资产、不允许无风险借款和借款利率高于贷款利率)下CAPM模型的变形。
(四)流动性问题
流动性指的是出售资产的难易程度和成本。传统的CAPM理论假定,证券交易是没有成本的。但在现实生活中,几乎所有证券交易都是有成本的,所以不具有完美的流动性。投资者更偏好流动性好、交易成本低的证券,因此,流动性差的股票收益率自然就应较高。
很多经验证据也表明流动性差会大大降低资产的价格。艾米胡和门德尔松(Amihud&Mendelson,1996)的研究发现,在1961~1980年这段时间里,纽约证交所流动性最差的股票收益率平均每年比流动性最好的股票高8.5个百分点。乔迪亚、罗尔和苏伯拉曼(Chordia,Roll&Subrahmanyam,2000)的研究则发现流动性风险是系统性的,因而是难以分散的。因此,资产价格中应包含流动性溢酬(liquidity premium)。