1.1 本课重点内容提示
1.函数的性质(定义域、值域、奇偶性、增减性、单调性、周期性、反函数等内容)的复习和总结.除了高中所学习的初等函数外,再介绍几个初等函数和几个常用的非初等函数.
(1)双曲函数(初等函数)

(2)几个常用的非初等函数
取整函数:
![]()
其函数值为不超过x的最大整数.


2.充分理解数列的极限的定义,即
的分析定义:
∀ε>0,∃自然数N(依赖于ε),当n>N时,均有|xn−a|<ε.
(1)ε为任意正数,是衡量xn与a的逼近程度的阈限值.可以看出,虽然ε为任意正数,但是只有当ε充分小时,才能刻画xn以a为极限的意义.
(2)N与ε有关系,N有最小值,但是其选取不唯一.
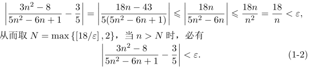
3.利用ε−N语言证明数列的极限的存在性,关键是将|xn−a|适当放大,找到自然数N,N的表达式越简单越好,没有必要找到的N总是满足|xn−a|<ε的最小的自然数.例如,用ε−N语言证明下面数列的极限:
(https://www.daowen.com)
本题的目的是要从|xn−a|<ε找到自然数N,因此

这里可以看出,直接从式(1-2)求出的N是满足该不等式的最小的自然数,但是表达式会比较麻烦,可以将其适当放大,在放大的过程中应当注意放大的条件,例如在本题放大的过程中,使用了18n−43>0及5n2−6n>0这两个条件,只需n>2就可满足,因此就知道上面的N那样取值的原因了.这样的N可能不是最小的,但是表达式比较简单,也满足数列的极限的定义的要求.
4.理解数列{xn}不以a为极限的分析表述.
存在某个ε0>0,对于任意的正整数N,总存在一项xn(n>N),使得
|xn−a|≥ε0.
5.数列{xn}没有极限、数列{xn}无界、数列
是三个不同的概念,其分析定义是不同的,在学习的过程中应当注意区分.
数列{xn}没有极限:若数列{xn}不以任何实数a为极限.
数列{xn}无界:对于任何实数M>0,均存在n(依赖于M),使得
|xn|>M.
数列
若对于任何实数M>0,存在N(依赖于M),当n>N时,都有
xn>M.
注 从定义可以看出,数列
是数列{xn}无界的一种特殊情形.
6.掌握三个重要极限的证明方法,并将结论作为求数列极限的基础.
