1.2 精讲例题与分析
2026年01月14日
1.2 精讲例题与分析
1.2.1 基本习题讲解
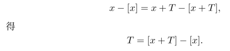
例1.1 证明:y=x−[x]为周期函数,并求出它的最小正周期.
证明[x]表示不超过x的最大整数.设周期为T,则:

可得到T为任意整数,故最小正周期为1.

所以就有
![]()
设xn=(−1)n,有

注 若a=0,二者是否等价呢?
1.2.2 拓展习题讲解
例1.3 给出函数f(x)在区间(a,b)内有界、数列{xn}有界的定义.
解f(x)在区间(a,b)内有界,即存在M>0,使得对任意x∈(a,b)都有
|f(x)|≤M.
数列{xn}有界,即存在实数M>0,对于任意的自然数n,均有
|xn|≤M.
例1.4
的定义与下面的叙述是否等价?
(1)∀ε>0,∃N,当n>N时,恒有|xn−a|<ε.
解 是,由定义可以得到.
(2)∀ε>0,∃N,当n>N时,恒有|xn−a|<Mε.(其中M是与ε无关的正数.)
解 是.(https://www.daowen.com)
(3)∀ε>0,满足|xn−a|≥ε的n至多有有限多个.
解 是.
(4)∀ε>0,满足|xn−a|<ε的n有无限多个.
解 否.如数列x2n=1,
满足条件,但是该数列发散.
(5)∃N,∀ε>0,当n>N时,恒有|xn−a|<ε.
解 否,是
的充分条件,但非必要条件.
(6)任意的正整数m,存在N,∀n>N,
均成立.
解 是.
(7)∀0<ε<10−10,∃N,当n>N时,恒有|xn−a|<ε.
解 是.

得证.
注 方法一的证明不同于教材上的方法.

注 是否有类似于例1.6题的方法来证明此题?答案是肯定的,注意到
![]()
成立.

令N=max{N1,N2},当n>N时就有

注 结论(1-3)也称为施笃兹(Stolz)定理.详细的内容见参考文献[1],在证明数列的极限时可以直接应用.