5.2 精讲例题与分析
5.2.1 基本习题讲解
例5.1 f(x)在x0点有定义,但是在这一点不连续的分析表述:
存在某个ε0>0,对于任意的δ>0,都存在一点xδ,满足|xδ−x0|<δ,但是
![]()
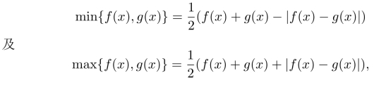
例5.2 证明:若函数f(x)和函数g(x)都在区间(a,b)内连续,则函数φ(x)=min{f(x),g(x)}和ψ(x)=max{f(x),g(x)}也在(a,b)内连续.
证明 方法一,注意到

由f(x),g(x)的连续性,可得φ(x),ψ(x)在(a,b)内连续.
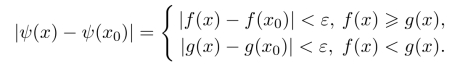
方法二,仅证明ψ(x)=max{f(x),g(x)}在(a,b)内连续.对于任意的x0∈(a,b),则f(x)和g(x)都在x0点连续,故对于任意的ε>0,存在δ1>0,当x∈O(x0,δ1)时,有
![]()
i)如果f(x0)>g(x0),根据连续函数的“保号性”,则对于上述的ε>0,存在一个邻域O(x0,δ2),当x∈O(x0,δ2)时,有f(x)>g(x).此时取δ=min(δ1,δ2),当x∈O(x0,δ)时,有
![]()
ii)如果f(x0)=g(x0),对于上述的ε>0,此时取δ=δ1,当x∈O(x0,δ)时,有

iii)如果f(x0)<g(x0),同i)可得到类似(5-5)式的结果.
再由x0的任意性,可得ψ(x)=max{f(x),g(x)}在(a,b)内连续.
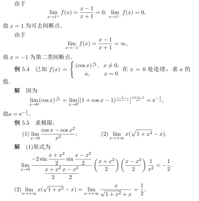
例5.3 求下列函数的间断点,并指出间断点的类别.

解(1)当x≠0,x≠1时,函数有意义,且为初等函数,故为连续的.
当x=0时,函数无意义,且
![]()
所以为第二类间断点.
当x=1时,函数无意义,且
(https://www.daowen.com)
为第一类间断点.
(2)当x=0,x=1,x=−1三者之一时,函数没有意义,而在其他点是连续的.
由于

故x=0为可去间断点.

5.2.2 拓展习题讲解
例5.6 若f(x0)在点x0连续,并且f(x0)>0,证明:存在x0的邻域O(x0,δ),当x∈O(x0,δ)时,f(x)≥c>0,c为某个常数.
注 这是连续函数的一个性质,即保号性.
证明f(x)在x0连续:对于任意ε>0,存在δ>0(δ与x0,ε有关),当|x−x0|<δ时,有|f(x)−f(x0)|≤ε.
现取ε=f(x0)/2,则存在邻域δ′>0(δ′依赖于x0,f(x0)/2),使得当|x−x0|<δ′时,均有f(x)≥f(x0)−ε=
例5.7 说明y=Sgn(sinx)的连续性.
解 由画图形及简单计算,可知x=kπ(k=0,±1,±2,···)为其第一类间断点.
例5.8 假设对于所有x∈[−1,1],均有|f(x)|≤|x|,证明f(x)在0点连续.
证明 易知f(0)=0,对于任意的ε>0(不妨设ε<1),取δ=ε,当|x−0|<δ时,有|f(x)−f(0)|=|f(x)|≤|x|<ε.
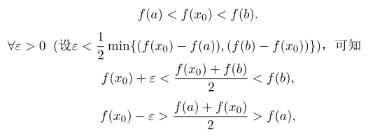
例5.9 设单调函数f(x)可以取到f(a)和f(b)之间的所有函数值,求证:f(x)在[a,b]上连续.
证明 假设f(x)在区间[a,b]上单调增加,对于x0∈(a,b),不妨设

则存在不同的两点x1∈(a,x0),x2∈(x0,b)使得

取δ=min{x2−x0,x0−x1},则当|x−x0|<δ时,由函数的单调性,知
![]()
得证.
对于其他如f(a)=f(b)、f(a)=f(x0)、f(b)=f(x0)等情形,可同理验证.