导文网
搜索
首页>
图书频道>
理学>
数学物理化学
4.3 课外练习
2026年01月14日
版权
4.3 课外练习
A组
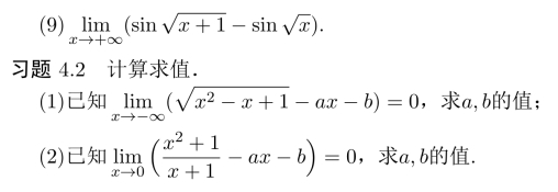
习题4.1 求下列函数的极限.
B组(https://www.daowen.com)
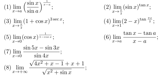
习题4.3 求下列函数的极限.
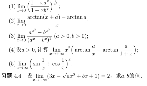
C组
上一章
下一章
目录