7.2 精讲例题与分析
7.2.1 基本习题讲解

的极限值均不存在,可知左右导数不存在,故在x=0点不可导.
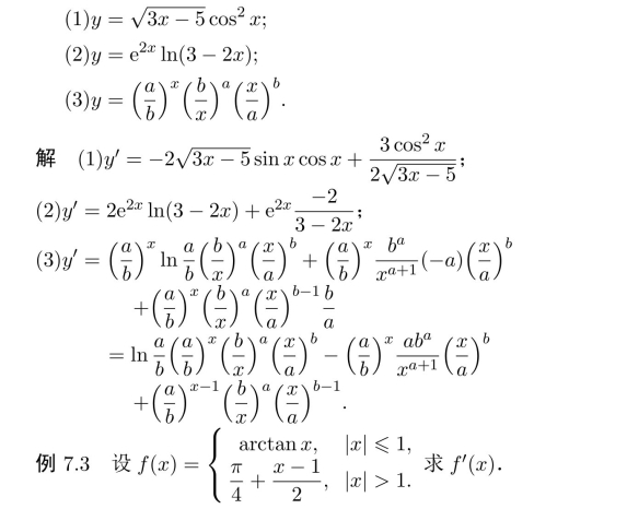
例7.2 求下列函数的导数.

解 首先注意到,除去x=−1点,函数在定义域上是连续的.

下面考虑在x=±1处的导数.当x=1时,根据导数的定义来求:

所以在x=1处,其导数存在且为![]()
当x=−1时,由于其不连续,故导数不存在(也可以用左右导数验证之).

所以在x=−1处,函数的导数不存在.
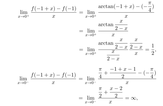
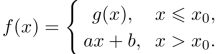
例7.4 设
其中函数g(x)在x0的左导数存在,问a和b为何值时,函数f(x)在点x0连续且可导.
解 假设g(x)在x0处的左导数为
由于函数f(x)在x0连续,故有

由于g(x)在x0的左导数存在,则g(x)在x0点左连续(由左右导数的定义可以证明,或者见拓展习题讲解例7.8),即f(x)在x0点左连续.
从函数f(x)在x0点可导,则其右导数存在,其值为左导数的值.故

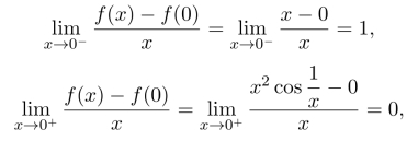
故f(x)在x=0处连续.
而

故f(x)在x=0处不可导.
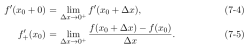
例7.6 思考题:
说明在某一点的右导数
(x0)和导函数在某一点的右极限f′(x0+0)之间的不同意义,并结合不同的例子给予说明.

解 由定义,二者区别为:
•前者表示f′(x)在x0点的右极限,后者表示右导数.
•前者定义要求,存在正数δ>0,使f(x)于(x0,x0+δ)内可导;后者无任何可导性要求.
•前者对于f(x)在x0点是否有定义无关,后者要求f(x)在x0点右连续.有趣的是,导数的右极限有结果:

存在.(读者自己证明)
二者联系:设f(x)于[x0,x0+δ]上连续,在(x0,x0+δ)内可导,如果f′(x0+0)存在,则
存在,且
![]()
即f′(x0+0)的存在性在某一条件下蕴涵了
的存在.其详细的证明将在第十一课中给出.
下面给出两个例子说明在一般情况下二者不存在相互依存关系.
(https://www.daowen.com)
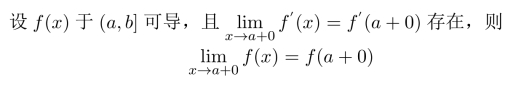
从上面的联系中,容易得到如下的结论:
设f(x)于x0点连续,于去心邻域U(x0,δ)内可导,如果
![]()
则f(x)于x0点连续可导.
因此,该结果给出了另外一种判断函数是否可导的方法,但不是判断可导的充分必要条件,例如拓展习题讲解的例7.10.该方法对于在分段点的左右导数不容易计算时使用起来比较方便,例如课外练习的习题7.2和习题7.5.
7.2.2 拓展习题讲解

说明f(x)在点x0点右连续,同理,可以证明f(x)在点x0点左连续.
注 这个练习说明,只要左右导数存在,可以不相等,便蕴涵了连续,降低了课程中“可导必连续”这一命题的条件.另外,还可以看出,左导数存在蕴涵了左连续,右导数存在蕴涵了右连续.

解 在x≠0处可以用初等函数的求导法则,但是在点x=0处则必须按照导数的定义,先写出差商,再求极限.根据函数的定义,可以计算出f′(0)=0.从而得到
由此可见,函数f(x)处处可导,但是导函数f′(x)在点x=0处不连续.由于极限
不存在,因此x=0为导函数f′(x)的第二类间断点.
注 函数f(x)在某一点x0可导,其导函数在该点不连续的例子不容易举出,本题正是提供了这样一个例子.
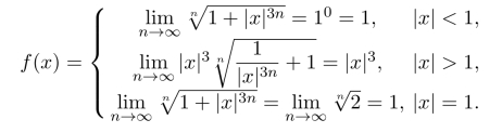
例7.11 设函数

讨论函数f(x)在(−∞,+∞)内的可导性.
解 先求极限得到函数的分段表达式,再对其分段点讨论可导性.

可以看出f(x)在区间(−∞,−1),(−1,1),(1,+∞)上可导.

所以x=1为不可导点.
例7.12 设函数f(x)在x0点可导,且f(x0)≠0,求证|f(x)|在x0点也可导.如果f(x0)=0,同样的结果还成立吗?
例7.13 设函数f(x)在x0点可导且f(x0)=0,则|f(x)|在x0点可导的充分必要条件是f′(x0)=0.
例7.14 设f(x)在x0点可导,则|f(x)|在x0点不可导的充分条件是().
(A)f(x0)=0且f′(x0)=0(B)f(x0)=0且f′(x0)≠0
(C)f(x0)>0且f′(x0)>0(D)f(x0)<0且f′(x0)<0
解 这三道题目实际上是一个问题,均基于如下的分析.
若f(x0)≠0,不妨设f(x0)>0,由f(x)在x0点的连续性和保号性,可知存在x0的某个邻域O(x0,δ),当x∈O(x0,δ)时,f(x)>0,因此

即|f(x)|在x0点可导.
若f(x0)=0,则

因此,在条件f(x0)=0下,|f(x)|在x0点可导的充要条件是f′(x0)=0.
从上面的分析过程可以看出,例7.14的答案为(B).
注 这里用到了函数极限的性质,即如果
则
