8.1 本课重点内容提示
2026年01月14日
8.1 本课重点内容提示
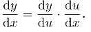
1.复合函数的求导满足链式法则.
若函数u=φ(x)在x点可导,函数y=f(u)在其对应点u(=φ(x))也可导,则复合函数y=f[φ(x)]在x点可导,且![]()
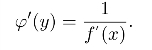
2.反函数的求导.
若函数f(x)在点x的某邻域内连续,且严格单调,y=f(x)在x可导且f′(x)≠0,则它的反函数x=φ(y)在y可导,且

(1)注意反函数求导的条件.实际上这里暗含了一个命题,也即在什么条件下反函数是存在的.
(2)
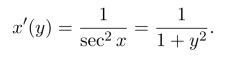
中y是自变量,尽管φ′(y)的表示中没有出现y.因此在表示中应当特别注意,例如y=tanx,x
的反函数的导数

这里对x利用y=tanx进行了替换,两种结果都是正确的,或者写成一般的函数的形式
而不能写成
或者
等错误形式.
3.隐函数的求导.
这里的隐函数求导,是在假定了方程F(x,y)=0确实能够确定出唯一的函数y=f(x),并且可以求导的条件下进行的.实际上,可以认为,隐函数求导方法是反函数求导法则的一个拓展,即反函数求导法则是隐函数求导法则的特殊形式,这一点通过y=f(x)两边对y求导(把y看做自变量,x为y的函数),即可以得到反函数的求导公式
(https://www.daowen.com)
4.高阶导数的计算.
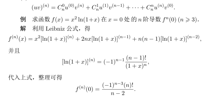
(1)高阶导数的计算,Leibniz公式是主要的计算工具:

(2)对于分式的高阶导数,一般先进行分解,使其为简单分式后再分别求高阶导数.例如:
(i)![]()
(ii)ln(x2+3x−4)=ln(x+4)+ln(x−1).
(3)对于以上两种以外的情形,直接计算有时很复杂,可以利用递推关系和数学归纳法求函数的高阶导数(见拓展习题讲解).
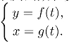
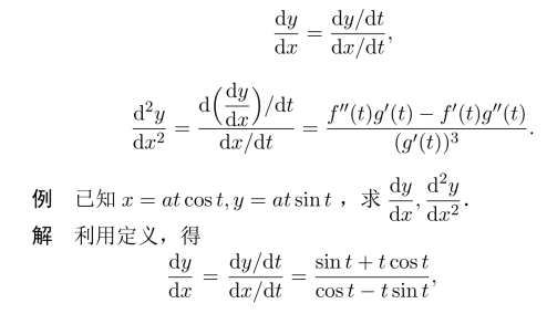
5.参数方程所确定函数的求导.
其求导法则源于反函数和复合函数的求导法则,所以其条件也是类似的.设参数方程为
则其一阶导数和二阶导数如下求得:
