7.3 课外练习
2026年01月14日
7.3 课外练习
A组

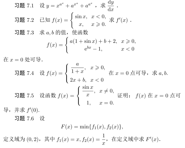
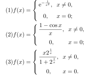
习题7.7 判断下列函数在x=0点是否可导,若可导,求出f′(0).

B组
习题7.8 设函数f(x)在x=0点可导,且f(0)≠0,f′(0)≠0,若af(h)+bf(2h)−f(0)在h→0时是h的高阶无穷小,求a,b的值.
习题7.9 设函数f(x)在x=a连续,且f(a)≠0,而函数f2(x)在x=a可导.试证:函数f(x)在x=a也可导.
习题7.10 设α为自然数,在什么条件下,函数

(1)在x=0连续;(2)在x=0可导;(3)在x=0处导函数连续.
习题7.11 (1)设函数y=f(x)在(0,+∞)内有界且可导,则下面的哪个结论是正确的().

(2)设函数f(x)在x0的一个邻域内有定义,则在x0点处存在连续函数g(x)使f(x)−f(x0)=(x−x0)g(x),是f(x)在点x0处可导的().(https://www.daowen.com)
(A)充分而非必要条件(B)必要而非充分条件
(C)充分必要条件(D)非充分非必要条件
(3)设函数f(x)于x=0处连续,下列命题错误的是().

C组
习题7.12 选择题:
(1)设f(0)=0,则f(x)在x=0点可导的充分必要条件为().

(A)x=0为f(x)的第一类间断点;
(B)x=0为f(x)的第二类间断点;
(C)f(x)在x=0处连续,但不可导;
(D)f(x)在x=0处可导.