10.1 本课重点内容提示
1.费马(Fermat)定理.
设f(x)在点x0可导,在x0的某邻域内有定义,且恒有f(x)≤f(x0)(或者f(x)≥f(x0))成立,则
![]()
其几何意义是:如果曲线f(x)在x0有极大值(或者f(x0)在x0有极小值),只要在点(x0,f(x0))曲线有切线(垂直切线除外),其切线必为水平的.
2.中值定理.
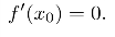
Rolle定理 设f(x)于闭区间[a,b]连续,在开区间(a,b)可导,且f(a)=f(b),则至少存在一点ξ∈(a,b)使得
![]()
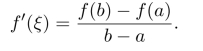
Lagrange中值定理 设f(x)于闭区间[a,b]连续,在开区间(a,b)可导,则至少存在一点ξ∈(a,b)使得

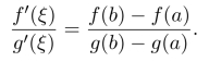
Cauchy中值定理 设f(x),g(x)于闭区间[a,b]连续,在开区间(a,b)可导,且g′(x)≠0,则至少存在一点ξ∈(a,b),使得
(https://www.daowen.com)
(1)中值定理,也称有限改变量定理,刻画了函数的变化率与导数的某种关系.
(2)Rolle定理、Lagrange中值定理、Cauchy中值定理是逐步推广的,Lagrange中值定理是Cauchy中值定理的特殊情况(此时g(x)=x),Rolle定理是Lagrange中值定理的特殊情况(此时f(a)=f(b)).
(3)注意Rolle中值定理的条件,开区间内可导,闭区间上连续,两个端点的值相同.Rolle定理实际上给出了函数存在一个零点的证明方法,这和闭区间上连续函数的性质——零点存在定理要区别开来,二者的条件是不同的,分别用来证明导函数和函数本身存在零点.如拓展习题讲解的例10.6.
例 设函数f(x)在闭区间[a,b]上有定义,在开区间(a,b)可导,则().
(A)当f(a)f(b)<0时,存在ξ∈(a,b)使得f(ξ)=0
(B)对任何ξ∈(a,b),有![]()
(C)当f(a)=f(b)时,存在ξ∈(a,b)使得f′(ξ)=0
(D)存在ξ∈(a,b)使得f′(ξ)(b−a)=f(b)−f(a)
解 由于f(x)在开区间(a,b)可导,故连续,可知(B)正确.其他选项不难举出反例来.
3.中值定理是微分学的一个重要概念,应深刻理解和掌握.
应用中值定理的困难在于如何从结论出发,构造相应的函数,使其导数满足相应的等式,或者导数适当放大或缩小满足相应的不等式.这一点需要在练习中不断地体会.