11.2 精讲例题与分析
2026年01月14日
11.2 精讲例题与分析
11.2.1 基本习题讲解


例11.2 应用Taylor公式按照x的乘幂展开函数
![]()
解 根据Taylor公式,有

即为f(x)=1−9x+30x2−45x3+30x4−9x5+x6.
注 多项式的Taylor展式是精确的.
例11.3 做函数f(x)=ln(x2−3x+2)在x=0点处的Taylor展开.
解 注意到
f(x)的高阶导数容易得到,

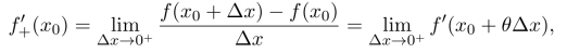
例11.4 左右导数和导数的左右极限的关系问题.
在第七课中指出二者的关系命题:设f(x)于[x0,x0+δ]上连续,在(x0,x0+δ)内可导,如果f′(x0+0)存在,则
(x0)存在,且
![]()
证明 由于
(https://www.daowen.com)
式中利用了Lagrange中值定理,其中θ∈(0,1).由于f′(x0+0)存在,由定义,可知
![]()
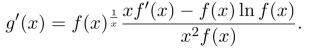
例11.5 已知f(x)为实轴上二阶连续可导的正值函数,f(0)=1.定义g(x)=
(x≠0).
(1)求g′(x);
(2)当定义g(0)为何值时,g(x)成为连续函数?
(3)连续的g(x)是否连续可导?如果连续可导,求出g′(0)的值.
解(1)当x≠0时,利用对数求导法,易得



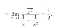
因为二阶导数f′′(x)在(−1,1)内连续且不为0,故f′′(x)在(−1,1)内不变号.假设f′′(x)>0,从而f′(x)在(−1,1)内严格单增,所以上式中的θ(x)是唯一的.
(2)由(1),可得

注 此题也可以对式(11-1)的右端利用Maclaurin公式展开进行求极限.
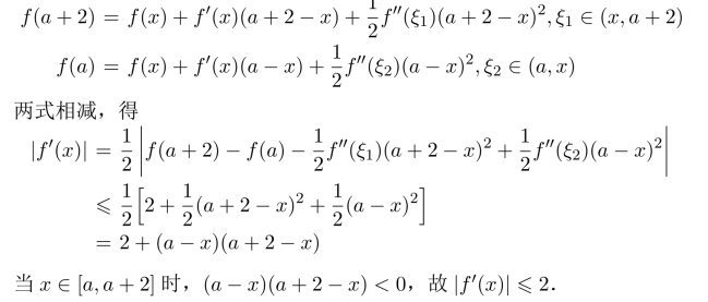
例11.10 设函数f(x)为区间[a,a+2]上的函数,且|f(x)|≤1,|f′′(x)|≤1,证明|f′(x)|≤2,x∈[a,a+2].
证明 根据Taylor公式,
