11.1 本课重点内容提示
2026年01月14日
11.1 本课重点内容提示
1.L’Hospital法则.
(1)求导法则和求导公式的基础是函数的变化率的极限,L’Hospital法则是利用导数这个工具,反作用于极限理论,尤其是求那些未定式函数的极限(
型,
型).该法则证明的基础是中值定理.
(2)在利用L’Hospital法则求函数的极限时,应当注意两点:
(i)分子或者分母中如果出现某因式项的极限存在且不为零,一定要先求出该项的极限,使得分子或者分母的求导运算变得简单易行.


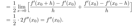
下一步不满足法则的条件,利用二阶导数的定义得到

(4)其他类型的不定型如∞−∞型,0·∞型,00型,1∞型,∞0型,都可以化为
型或者
型,进而利用L’Hospital法则求极限.
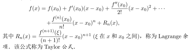
2.Taylor定理.
若函数f(x)在含有点x0的某开区间(a,b)内有直到n+1阶导数,则当x∈(a,b)时,有

(1)Taylor公式的出发点是用一个多项式函数来近似地表示一个复杂的函数,但是要求该复杂函数有高阶导数(很好的光滑性).Taylor公式的基础也是微分中值定理.
(2)当x0=0时,该公式为麦克劳林(Maclaurin)公式,是Taylor公式的特殊形式.(https://www.daowen.com)
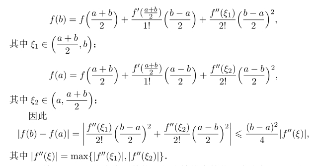
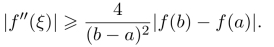
例 设函数f(x)在闭区间[a,b]上二次可微,并且
试证存在ξ∈(a,b),使
![]()
证明 利用Taylor公式,

(3)利用Taylor公式将函数的一部分转换为等价无穷小代入再进行计算.利用该方法时应当注意的是展开式的最高阶次的问题,展开的最高阶次应当是所求极限的函数中,分子或者分母各项的主项的阶数.



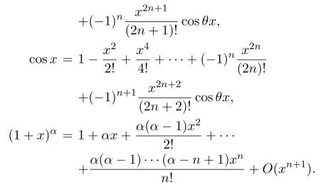
其中ξ在0和x之间,θ∈(0,1).
注 最后一个式子比较重要,常常用来求其他函数的Taylor展开式.
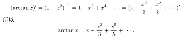
例 求函数arctanx在x=0点的Taylor展开式.
解 由于
