10.3 课外练习
A组
习题10.1 已知f(x)为[0,1]区间上的可微函数,f(0)=f(1)=0,且对任意的x∈[0,1],都有|f′(x)|<1.试证
![]()
习题10.2 设函数f(x)在闭区间[0,1]上连续,在(0,1)内可导,且f(1)=0.试证存在ξ∈(0,1),使

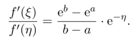
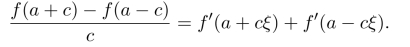
习题10.3 设c>0,函数在闭区间[a−c,a+c]上可导,试证:至少存在一点ξ∈(0,1),使
![]()
习题10.4 设函数f(x)在闭区间[a,b]上连续,在开区间(a,b)内二阶可导,且
![]()
试证存在ξ∈(a,b),使f′′(ξ)>0.
B组
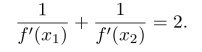
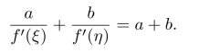
习题10.5 设f(x)∈C[a,b],f(x)在a,b内可导,且f′(x)≠0,试证存在ξ,η∈(a,b),使得

习题10.6 设f(x)在[0,1]上连续,在(0,1)内可导,f(0)=0,当x>0时,f(x)>0,试证对任意的正整数k,存在ξ∈(0,1),满足

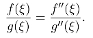
习题10.7 假设函数f(x)和g(x)在[a,b]上存在二阶导数,并且g′′(x)≠0,f(a)=f(b)=g(a)=g(b)=0,试证明:
(1)在开区间(a,b)内g(x)≠0.
(2)在开区间(a,b)内至少存在一点ξ,使得

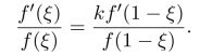
习题10.8 设函数f(x),g(x)在[a,b]上连续,在(a,b)内可导,且f(a)=f(b)=0,试证:至少存在一点ξ∈(a,b),使(https://www.daowen.com)
![]()
习题10.9 已知函数f(x)在区间[−1,1]上连续,在(−1,1)内可导,且f(0)=0,f(1)=1.
证明:(1)存在ξ∈(0,1),使得f(ξ)=1−ξ;
(2)存在两个不同的点η1,η2∈(0,1),使得f′(η1)f′(η2)=1.
(提示:利用零点存在定理,Lagrange中值定理即可证明.)
C组
习题10.10 f在[0,1]上可导且f(0)=0,f(1)=1,证明:∃x1,x2∈(0,1),x1≠x2,使

习题10.11 设函数f(x)在[a,+∞)上连续,在[a,+∞)内可导,且
试证明:存在ξ>a,使得f′(ξ)=0.
习题10.12 设函数f(x)在闭区间[0,1]上连续,在开区间(0,1)内可导,且f(0)=0,f(1)=1.试证明:对于任意给定的正数a和b,在开区间(0,1)内存在不同的ξ和η,使得

习题10.13 设函数f(x)在[0,2]上连续,在(0,2)内可导,且f(0)+f(1)=2,f(2)=1.证明:存在ξ∈(0,2),使得f′(ξ)=0.
习题10.14 设函数f(x)在(0,+∞)内有定义,在x=1点可导,且f′(1)=a(a≠0),又对任意(x,y)∈(0,+∞)有f(xy)=f(x)+f(y)成立.
(1)求f(1);
(2)证明![]()
习题10.15 设函数f(x)于[a,b]上连续,在(a,b)内具有二阶导数且存在相等的最大值,f(a)=g(a),f(b)=g(b),证明:存在ξ∈(a,b)使得
![]()
习题10.16 设函数f(x)满足
(i)在闭区间[a,b]上连续,且f(a)=f(b)=0;
(ii)在(a,b)内具有二阶导数,且在x=a点处一阶右导数
证明:至少存在一点ξ∈(a,b),使得f′′(ξ)<0.