12.2 精讲例题与分析
12.2.1 基本习题讲解
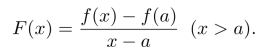
例12.1 设f(x)在[a,+∞)上连续,f′′(x)在(a,+∞)内存在且大于0,记

证明F(x)在(a,+∞)内单调增加.
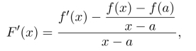
证明 只需证明F′(x)>0,x>a,直接计算,得

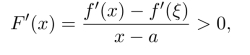
由Lagrange中值定理知,存在ξ∈(a,x),使得f(x)−f(a)=(x−a)f′(ξ).
又由f′′(x)>0可知,f′(x)>f′(ξ),所以

证毕.
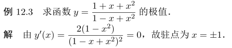
例12.2 求函数y=x+sinx的凸凹区域及拐点.
解 由于y′(x)=1+cosx=0,得到x=(2k+1)π,k∈Z为驻点.y′′(x)=−sinx在驻点处的函数值均为零.
当x∈(2kπ,(2k+1)π)时,y′′(x)<0;
当x∈((2k−1)π,2kπ)时,y′′(x)>0.所以驻点为拐点,(2kπ,(2k+1)π),k∈Z区域为上凸区域.((2k−1)π,2kπ),k∈Z区域为上凹区域.

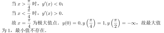
当x<−1时,y′(x)<0;
当x∈(−1,1)时,y′(x)>0;
当x>1时,y′(x)<0.
故x=−1,1分别为极小值点和极大值点.
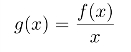
例12.4 求函数y=2tanx−tan2x,0≤x
的最大值和最小值.
解 由y′(x)=2sec2x(1−tanx)=0,得到![]()

12.2.2 拓展习题讲解(https://www.daowen.com)
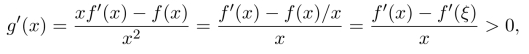
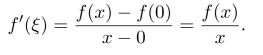
例12.5 设f(0)=0,f′(x)严格单增,求证函数

在(0,+∞)严格单调增加.
证明 利用导函数的符号可以确定函数的增减性.由

其中利用了Lagrange中值定理,即存在ξ∈(0,x),使得

于是g′(x)>0,故函数
在(0,+∞)严格单调增加.

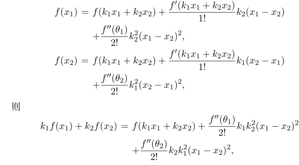
证明 仅证明n=2的情形,因从n=2成立,易得任意的n>2均成立.
方法一,由于函数下凸,故f′′(x)>0.对函数f(x1)和f(x2)在k1x1+k2x2处做Taylor展开,得

从而,f(k1x1+k2x2)≤k1f(x1)+k2f(x2).证毕.
方法二,利用导数的性质来证明不等式,令
![]()
则利用G(t)的导数及二阶导数可以证明之(略).

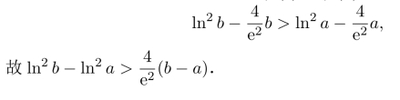
所以当x>e时,φ′′(x)<0,故φ′(x)单调减小,从而当e<x<e2时,
![]()
即当e<x<e2时,φ(x)单调增加.
因此,当e<a<b<e2时,φ(b)>φ(a),即
