12.3 课外练习

12.3 课外练习

A组

习题12.1 求曲线x2y=1(x>0)上任一点切线与坐标轴构成的三角形的两条直角边长的和的最小值.

习题12.2 确定a,b,c使曲线(C):

图示

在(1,−1)处有拐点且使y在x=0处有极值.

习题12.3 求曲线xy2=1(y>0)上任一点切线与坐标轴构成的三角形的两条直角边长的和的最小值.

习题12.4 半径为√图示的圆与x轴相切,并沿x轴滚向抛物线(C):

图示

问它在何处与抛物线相切?此时圆心的坐标为何?并写出公切线方程.

习题12.5 已知圆柱体体积为V,问底半径及高各为多少时,此圆柱体的全部表面积最小?

习题12.6 设f(x)=nx(1−x)n,n为正整数,

(i)求f(x)在闭区间[0,1]上的最大值M(n);

(ii)求数列的极限图示

习题12.7 试证明:当x>0时,(x2−1)lnx≥(x−1)2.

B组

习题12.8 求函数图示在闭区间[0,3]上的最大值和最小值.(https://www.daowen.com)

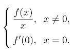
习题12.9 设f′′(x)>0,f(0)=0,令g(x)=图示证明:

(1)g(x)在x=0点连续;

(2)g(x)在x=0点可导;

(3)g(x)在(−∞,+∞)内严格单调增加.

习题12.10 求函数y=xe−x2/4的单调区间、凹凸区间、极值和拐点,并画出草图.

C组

习题12.11 设函数f(x),g(x)具有任意阶导数,且

f′′(x)+f(x)g(x)+xf(x)=ex−1,f(0)=1,f(0)=0,则( ).

(A)f(0)为函数f(x)的极小值;

(B)f(0)为函数f(x)的极大值;

(C)点(0,1)为曲线y=f(x)的拐点;

(D)极值与拐点由g(x)确定.

习题12.12 求函数y=e−x2sinx2的值域.

习题12.13 设任意x,函数f(x)均满足等式

图示

求f(x)的极值.