13.2 精讲例题与分析
13.2.1 基本习题讲解
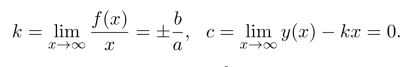
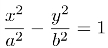
例13.1 求双曲线的渐近线.
![]()
解 由于
可以看出该函数没有垂直渐近线.下面求其斜渐近线.设斜渐近线为y=kx+c,则

所以双曲线的渐近线方程为![]()
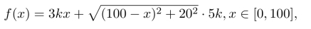
例13.2 铁路AB段的距离为100km,工厂C距离A为20km,AC垂直于AB(如图13-1),今要在AB间一点D向工厂修一条公路,使从原料供应站B运货到工厂所用运费最省,问D应该建设在何处(已知货运每一km铁路和公路运费之比为3:5)?

图13-1例13.2图形
解 设D修在距离B端xkm处,单位造价为k,则总运费用为
![]()
即求f(x)在上述条件下的最小值问题.由
![]()
得到x=85.又f(85)=380k,f(0)>500k,f(100)=400k.所以函数的最小值在x=85km处.
例13.3 在宽为a米的河上修建一条宽为b米的运河,二者相交成直角(图13-2),问能驶进这条运河的船,其最大长度为多少?

图13-2例13.3图形
(https://www.daowen.com)
13.2.2 拓展习题讲解
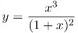
例13.4 求曲线
的斜渐近线方程.
解 设斜渐近线方程为y=kx+b,则

例13.6 求曲线y=lnx上与直线x+y=1垂直的切线方程.
解 由于与直线x+y=1垂直的直线的斜率为k=1.y′=(lnx)′=
=1得到x=1,切点为(1,0),其切线方程为y=x−1.例13.7设曲线的极坐标方程为r=1+cosθ,求在其上对应于
点处的切线的直角坐标方程.
解 由极坐标的定义
x=rcosθ=(1+cosθ)cosθ,y=rsinθ=(1+cosθ)sinθ,可得

因此切线方程为![]()
例13.8 求出
的增减区间与极值,凹凸区间与拐点,渐近线方程,并描绘函数图形.

所以y=x−2为曲线的斜渐近线,如图13-3.

图13-3例13.8的图形
极大值为
拐点(0,0),单调性、极值及凸凹性分析如下表
