14.1 本课重点内容提示
1.不定积分.
(1)不定积分是函数求导的逆运算.不定积分就是求函数的原函数的运算.
(2)基本积分公式源于微分学中的基本导数公式.
(3)不定积分的运算法则源于导数的运算法则,即

其中a,b为常数.
2.第一、第二类换元法的基本思想是引入新的变量,将要计算的积分通过变量替换,化为基本积分公式中的一种形式,求出原函数后,再换回原来的变量.
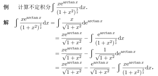
3.分部积分法源于两个函数乘积的导数的运算法则:

恰当地选择被积函数中的u和dv,达到积分的目的.一般来说,如果函数u比较复杂时,通过分部积分,对u求导数,可以使积分运算出来.

移项整理得

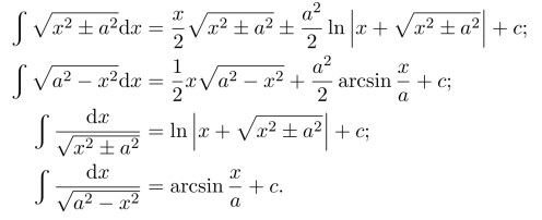
这几种形式的不定积分,应熟练掌握其变量替换形式和推导方法,并在此基础上最好记住这些结果,可以作为积分公式使用.
