导文网
搜索
首页>
图书频道>
理学>
数学物理化学
14.3 课外练习
2026年01月14日
版权
14.3 课外练习
A组
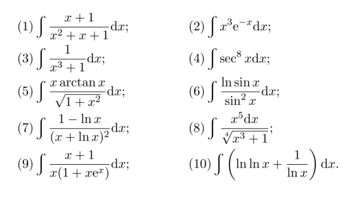
习题14.1 求下列函数的不定积分.
B组
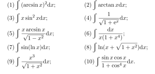
习题14.2 求下列函数的不定积分.(https://www.daowen.com)
C组
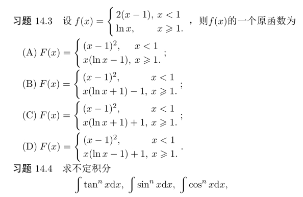
其中n为自然数.
上一章
下一章
目录