14.2 精讲例题与分析
14.2.1 基本习题讲解
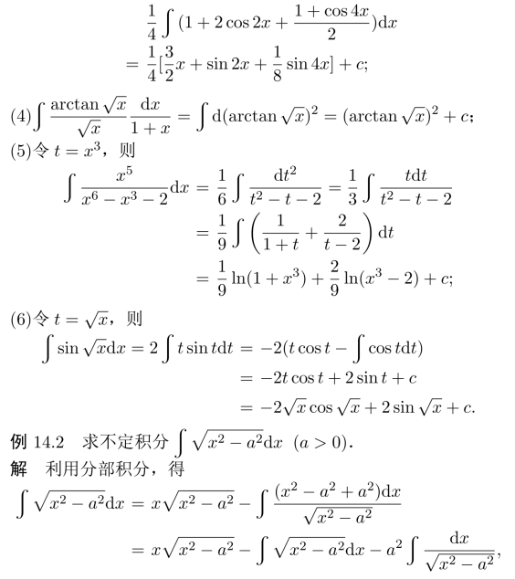
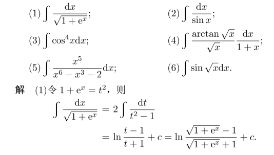
例14.1 求下列不定积分.

(2)原式为


注 此种方法比较典型,应当注意.读者可练习求解
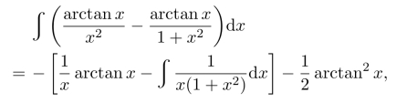
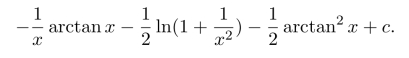
(3)原式为

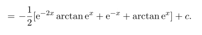
从而,有

注 本题也可以令x=asecθ替换,利用拓展习题讲解例14.3(2)计算,但是同样要利用分部积分公式得到结果.
14.2.2 拓展习题讲解
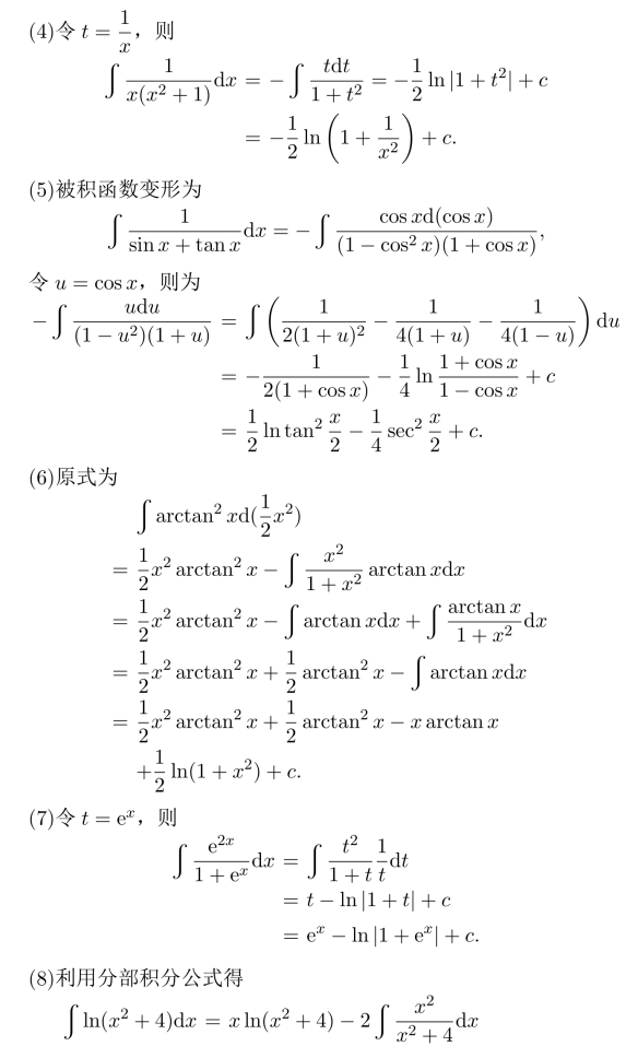
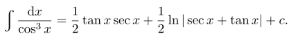
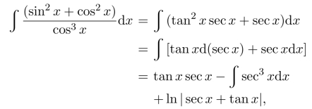
例14.3 求下列不定积分.
(https://www.daowen.com)
解(1)原式为

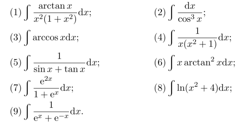
利用(4)题的结果,得

(2)原式为

移项,得到

注 在三角函数的不定积分中,1=sin2x+cos2x有时候要用到.
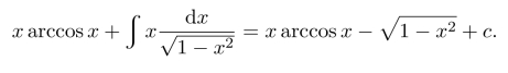
(3)原式为



