§2.3 连续时间鞅
在本节中,我们为随机分析做点准备工作,首先将证明对于一个右连续下鞅,我们可以假设流满足通常条件,因此开集与闭集的首中时是停时,继而证明Doob的有界停止定理成立,从而鞅的停止过程仍然是鞅,最后把Doob的两个下鞅和鞅不等式推广到连续时间场合.这是说只要有右连续假设,离散时间鞅的结论都可以推广到连续时间鞅上,读者或许会注意到负时间下鞅收敛定理在这里扮演更重要的角色.
设T=[0,∞),(Ω,F,P)是完备概率空间,(Ft)t∈T是概率空间上的流.
定义2.3.1 设X=(Xt)是适应的实值可积过程.如果对任何t>s有
![]()
那么称X是鞅.下鞅和上鞅类似地定义.如果一个(下)鞅同时是右连续或者连续随机过程,那么称之为右连续或者连续(下)鞅.
鞅或者下鞅未必是右连续的,那么自然的问题是它是不是有右连续修正,即对于一个下鞅X,是否存在一个右连续下鞅Y使得对任何t,有Xt=Yt a.s.?这个问题很重要,但是本讲义并没有用到,所以我们把它放在习题里讨论.
连续时间鞅的性质和离散时间鞅没有本质的不同.到现在为止,我们还没有介绍真正有意义的连续时间随机过程的例子,所以也无法给出非平凡的连续时间鞅的例子,因此下面讲的这些理论还只是纸上谈兵,一直要等到引入Brown运动之后.
例2.3.1 Doob鞅是鞅的一个平凡的例子.设ξ是可积随机变量,定义那么X=(Xt)是一个一致可积鞅,称为Doob鞅.
![]()
根据这个定义,不难看出,我们可以假设F0中含有所有概率零的集合,否则我们可加入这些集合.这个假设不影响条件期望,因为所有关于条件期望的结果都是在几乎处处的意义下叙述的.下面我们叙述右连续下鞅的几个结论.
定理2.3.1 如果X是一个右连续的(Ft)下鞅,则X也是一个(Ft+)下鞅.
证明.这是负指标下鞅收敛定理的一个推论.我们要证明对t>s有
![]()
取t0=t,tn严格递减趋于s.定义Y-n:=Xtn,G-n:=Ftn,那么(Y-n,G-n:n≥0)是负指标下鞅.因为EY-n≥EXs>-∞,故应用定理2.1.7 的结论推出

其中Y-n→Xs是因为右连续假设.
由上面这个结论,以后我们说到右连续下鞅时,总是可以假设对应的流是满足通常条件的,也就是说假设(Ft)满足通常条件,那么开集或者闭集的首中时总是停时.下面的定理是Doob有界停止定理的连续时间版本,是对于右连续下鞅叙述的.
定理2.3.2 设X是右连续下鞅,τ,σ是有界停时且σ≤τ,则Xσ,Xτ是可积的
且
![]()
证明.先证明Xσ是可积的.对n≥0,令Dn:={k2-n:k=0,1,2,···}及
![]()
因Dn⊂Dn+1,故σn与σn+1是值域为Dn+1的关于流(Ft:t∈Dn+1)的有界停时,应用Doob离散时间有界停时定理于(Ft:t∈Dn+1)下鞅(Xt:t∈Dn+1),得知Xσn与Xσn+1是可积的且
![]()
对n≤0,令
![]()
则(Yn:n=0,-1,-2,···)是关于(Gn:n=0,-1,-2,···)的下鞅,且对任何n≤0,EYn=EXσ-n≥EX0,由定理2.1.4 ,(Xσn:n=0,1,2,···)是一致可积的,且因为X是右连续的,故当n→∞时,Xσn几乎处处收敛于Xσ,因而也L1-收敛于Xσ,因此Xσ是可积的,同理Xτ也是可积的.
接着证明(2.3.1)式.同样定义τn:=inf{t∈Dn:t≥τ},则τn≥σn且都是有界停时,对任何
,再应用Doob停止定理,对任何n,
(https://www.daowen.com)
由L1-收敛性得E(Xτ;A)≥E(Xσ;A).
由此定理,如果X=(Xt)是右连续(Ft)下鞅,τ是停时,那么停止过程Xτ是关于被停止的流(Fτ∧t)的下鞅.但是实际上这还不够,我们下面将证明Xτ是关于原来流(Ft)的下鞅.在离散时间的情况,这个结果是由关于离散时间的随机积分的定理2.1.1 推出的.但是在连续时间的情形,随机积分的定义远非如此简单,故我们需要用Doob停止定理来证明.先准备一个引理.
引理2.3.1 设σ是停时,t≥0,X是Fσ可测的可积随机变量,那么

证明.首先容易验证Fσ∧t=Fσ∩Ft,对此,在习题中有更一般的结果.
现在由条件期望的性质,只需证明E[X|Ft]关于Fσ可测就可以了.回忆上一节的一个练习中所断言的,随机变量Y是Fσ可测的当且仅当对任何s≥0,有Y·1{σ≤s}是Fs可测的.因此

右边第一项显然是Fσ可测的.为了证明第二项是Fσ可测的,取任意s≥0,
![]()
当t<s,右边是Fs可测的函数与Ft可测的函数乘积,因此是Fs可测的;当t≥s时,右边等于0,从而上面第二项也是Fσ可测的,即E[X|Ft]是Fσ可测的.
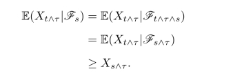
定理2.3.3 设τ是停时,X是右连续下鞅(或鞅),则X的τ停止过程Xτ=(Xt∧τ:t∈T)也是关于(Ft)的下鞅(或鞅).
证明.因t∧τ是有界停时,由定理2.3.2 ,Xτ是(Ft)适应的可积过程,并且对t>s,再应用定理2.3.2 及由引理2.3.1 ,因为Xt∧τ是Ft∧τ可测的,故

故Xτ也是(Ft)下鞅.
下面定理在后面是有用的,证明类似离散时间,留作习题.
定理2.3.4 (Ft)适应的右连续实值可积过程X是鞅当且仅当对任何有界停时τ有EXτ=EX0.
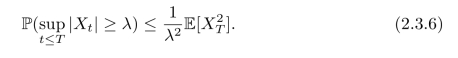
定理2.1.4 中的两个下鞅不等式对限制在可列稠子集上成立,由下鞅的右连续性,Doob的不等式可推广到连续时间下鞅,其中第二个实际上是本节最重要的结果之一,称为Doob鞅极大不等式,在后面将频繁用到.
定理2.3.5 设X是一个右连续非负下鞅,T>0,则
(1)对任何λ>0,

(2)对任何p>1,

特别地,如果X是鞅,那么

然后应用定理2.1.4 (1)和单调收敛定理得证.(2)的证明类似.
在连续时间情况下,Kolmogorov不等式仍然成立,即如果X=(Xt)是右连续鞅,那么对任意T>0与λ>0有

但是在以后的场合,我们通常可以使用比Kolmogorov不等式更强的(2.3.5).