§4.3 二次变差过程
在上一节中,我们完美地定义了关于Brown运动的随机积分,但这还远远不够,因为一旦涉及具体的运算,必定会涉及更一般的积分形式,所以我们需要把相对于连续平方可积鞅的随机积分说清楚,其中的关键是二次变差,为此,必须首先证明连续平方可积鞅一定有二次变差,如同Brown运动一样.
在本节中,固定一个带有流的概率空间(Ω,F,Ft,P).所有的鞅,停时及适应性都是相对于(Ft)而言的.我们将讨论鞅的二次变差过程的问题.
设M=(Mt)是连续的平方可积鞅,对任意n≥1,定义
![]()
那么τn是停时.显然τn关于n递增,且因为连续函数在任何有限区间上是有界的,故τn↑+∞.另外,如果t≤τn必有|Mt|≤n,故
![]()
即停止过程Mτn是有界连续鞅.这样的一个停时序列称为是M的一个局部化序列.
由此引入局部鞅的概念,局部鞅在随机分析中是不可缺少的工具.
定义4.3.1 一个几乎处处递增且趋于无穷的停时列{τn}称为是一个局部化序列.一个实值右连续适应过程M=(Mt)t≥0称为是局部鞅,如果存在一个局部化序列{τn},使得对任何n,停止过程Mτn是鞅.这样的一个局部化序列称为是局部鞅的局部化序列.

而且我们总可以找到一个局部化序列{τn},使得对任何n,M01{τn>0}是有界的.事实上,只需取
![]()
但是读者只需把这个细节记在心里,在取局部鞅的时候,虽然不明确地写出来,但你可以认为1{τn>0}是写在旁边的,或者就假设M0是有界的.
练习4.3.1 (1)局部鞅的两个局部化序列取小依然是局部鞅的局部化序列;
(2)如果M是局部鞅,那么存在局部化序列{τn},使得对任何n,Mτn是一致可积鞅;
(3)如果M是连续局部鞅,那么总是可以取到一个局部化序列{τn},使得对任何n,Mτn是有界连续鞅;
(4)如果M是非负连续局部鞅,那么M是上鞅;
(5)由(4.3.1)定义的{τn}是局部化序列.
被任何停时停止的鞅自然是局部鞅,有些读者可能会猜测局部鞅只要有可积性是不是就成为鞅,其实局部鞅和鞅差得很远,可积性远不能保证局部鞅成为鞅,简单的一致可积性也不够,需要很强的一致可积性才有可能.
练习4.3.2 一个过程X是类(DL)的,如果对任何t>0,随机变量族

是一致可积的.设有一个局部鞅M=(Mt),证明:它是鞅当且仅当它是类(DL)的.
一个适应右连续随机过程A称为是增过程(或有界变差过程),如果A0=0 a.s.且对几乎所有的ω∈Ω,轨道t
At(ω)是单调上升的(对应地,在有限区间上是有界变差的).首先我们证明像Brown运动一样,一个非常值连续局部鞅不可能是有界变差的.
定理4.3.1 一个连续局部鞅M=(Mt)是有界变差的当且仅当它是常值的,即对任意t≥0,Mt=M0 a.s.
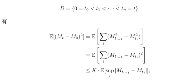
证明.先不妨设M的全变差过程及M本身被常数K控制的一个鞅.对任何t≥0及[0,t]上的任何分划

由M在[0,t]上的一致连续性,当|D|=maxi|ti-ti-1|→0时,
![]()
再由控制收敛定理,
![]()
故E[(Mt-M0)2]=0,从而M恒等于M0.
设M是一个具有有界变差的连续局部鞅.记V是M的全变差过程,定义
![]()
则{τn}是一个趋于无穷的单增停时列,结合M原来的局部化序列,存在局部化序列{σn}使得停止过程Mσn是一个具有有界的全变差过程的有界连续鞅.因此Mt∧τn=M0,再让n趋于无穷,得Mt=M0.
虽然连续局部鞅一般没有有界一次变差,但它却有二次变差,而且这个性质使得我们可以定义关于连续鞅的随机积分.
定义4.3.2 对于任意的实值连续随机过程X,如果存在一个随机过程A,使得当[0,∞)上的分划D={ti}趋于零时,对任何t>0,平方和过程

依概率收敛于At,则称过程X存在有二次变差过程,过程A称为是X的二次变差过程,写为〈X〉.
练习4.3.3 证明:如果X存在有二次变差过程,则对于任何s<t有〈X〉s≤〈X〉t a.s.
在上面定理的证明中,我们实际上证明了一个连续有界变差过程具有二次变差过程,其二次变差过程是零过程.我们把它写成为一个练习,在后面会被用到.
练习4.3.4 (1)一个连续有界变差过程的二次变差过程是零;
(2)如果连续局部鞅M的二次变差过程〈M〉恒等于0,那么M≡M0.
下面我们证明连续局部鞅具有有限二次变差,并给出二次变差过程的一个刻画.这是本节的主要定理.
定理4.3.2 设M是一个连续局部鞅,则M具有有限二次变差过程,其二次变差过程〈M〉是使得M2-〈M〉成为连续局部鞅的唯一的连续增过程〈M〉.特别地,如果M是连续平方可积鞅,那么M2-〈M〉是鞅.
证明.唯一性由定理4.3.1 立即推出.事实上,如果有两个连续增过程A,A′,使得M2-A与M2-A′都是连续局部鞅,那么
![]()
左边是初始值为零的有界变差过程,右边是连续局部鞅,由定理4.3.1 ,A=A′.
现在证明二次变差过程的存在性.先设M是有界连续鞅,正常数K是M的界.思想是先证明对任何给定的分划D,随机过程M2-TD(M)是鞅,也就是说,它在空间M20中,然后证明随机过程族{M2-TD(M):分划D}在空间M20中有唯一的极限点,这说明TD(M)有极限.证明比较长,分成数步.
(I)M2-TD(M)是鞅.
容易验证对任何固定t>0和固定的划分D,TDt(M)有界.对任何t>s≥0,存在k,使tk<s≤tk+1,故
(https://www.daowen.com)
即M2-TD(M)是一个连续鞅.

即它被一个与分划D无关的常数所控制.


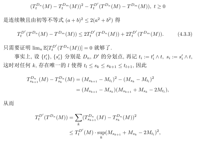
现取其中两个分划Dn与Dm,用D′表示两者合并后的分划,则因过程
![]()
是连续鞅,故由以上论证,过程

由Cauchy-Schwarz不等式与(II)可知,

的极限是零且被常数4K4控制,由有界收敛定理推出

因此(4.3.3)式从而(4.3.2)式成立.

如果M有界,〈M〉是二次变差过程,即M2-〈M〉是连续鞅.取任意停时τ去停止它,得[Mτ]2-〈M〉τ是连续鞅,由唯一性可知〈M〉τ是Mτ的二次变差,即有

现在设M是一个局部鞅,取其一个局部化序列{τn},则由(4.3.4)可知〈Mτn〉与〈Mτn+1〉在时间τn前是一样的.对任意t≥0,记

容易验证〈M〉是一个从零出发的连续增过程且〈M〉τn=〈Mτn〉,因此M2-〈M〉是一个连续局部鞅.
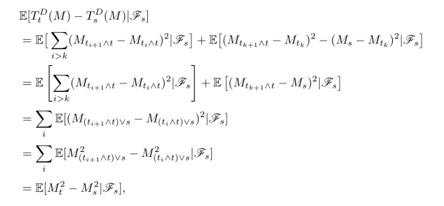
(V)现在需要证明上面定义的〈M〉确实是连续局部鞅M的二次变差过程.对任何t≥0,当k-→∞时,
![]()
现在任取ε>0,对任何n≥1有

因为〈M〉递增,故它是类(DL)的.下面只需证M2也是类(DL)的.由Doob极大不等式

定理中给出的刻画非常重要,它使得我们不必总是通过取分划上的平方和的极限的方法来算鞅的二次变差,比如定理4.2.2 实际上说

对任何连续局部鞅M,N,定义
![]()
称它是M,N的协变差过程,显然〈M〉=〈M,M〉.自然地,对任何t≥0,当分划{ti}趋于零时,

因此二次协变差有下列简单的性质:设M,N,M1,M2是连续局部鞅,则
(1)(对称性)〈M,N〉=〈N,M〉;
(2)如果a,b是常数,则〈aM1+bM2,N〉=a〈M1,N〉+b〈M2,N〉;
(3)|〈M,N〉|2≤〈M〉〈N〉.
练习4.3.5 证明:当M,N是连续局部鞅时,〈M,N〉是满足下面两个条件的唯一的连续有界变差过程:
(1)〈M,N〉0=0;
(2)MN-〈M,N〉是连续局部鞅.
下面的定理在局部化时是非常重要的.
定理4.3.3 设M,N是连续局部鞅,τ是停时,则
![]()
证明.不妨假设M,N都是有界的.因为MN-〈M,N〉是鞅,故MτNτ-〈M,N〉τ也是鞅,即第一个等号成立.下面我们需验证MτNτ-〈M,Nτ〉是鞅,等价于证明MτNτ-MNτ是鞅,因为MNτ-〈M,Nτ〉是鞅.对任何有界停时σ,由Doob停止定理,
![]()
即说明E[(MτNτ-MNτ)σ]=0,推出MτNτ-MNτ是鞅.一般情况利用局部化序列容易验证.实际上第二个等号由(4.3.5)式更为显然.

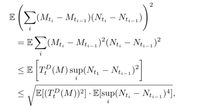
一般地,如果M,N是独立的连续局部鞅,则〈M,N〉≡0.这里不妨设它们是有界鞅来证明,读者可自己用局部化方法证明一般情况.上面的方法是没有用的,因为一般的鞅没有独立增量性.因此我们用定义来验证.设D={ti}是[0,t]的划分.由鞅性与独立性,

由定理4.3.2 的证明中的(II)推出E[(TDt(M))2]右边乘积的第一项被一个与D无关的常数控制,而轨道连续性推出乘积的第二项极限为零,故M,N在D上的协变差的极限是零,即〈M,N〉=0.
练习4.3.6 用局部化方法证明一般情况.注意局部化序列的取法保持独立性.
设M是连续局部鞅,写M2t=(M2t-〈M〉t)+〈M〉t,即M2可唯一分解为一个连续局部鞅与一个连续增过程的和.关于这个定理,我们现在给出的叙述和证明都需要利用局部化的概念.如果把M限制在连续平方可积鞅的情况,那么是不是会有一个不需要动用局部化方法的直接证明呢?实际上,这个结果是著名的Doob-Meyer分解的一个特例,Doob-Meyer分解远比上面证明的定理强大,证明自然也更为困难,它是说一个(类D的)右连续下鞅可被唯一地分解为一个右连续鞅与一个自然增过程的和,它是现代随机分析的主要基石.