§5.2.2 L´evy的Brown运动鞅刻画
公式的第二个应用是L´evy的Brown运动鞅刻画,它是说连续局部鞅的二次变差过程可以唯一刻画Brown运动.设(Ω,F,Ft,P)是具有满足通常条件的流的概率空间.

我们因此考虑适应过程

要证明它是个鞅.为此,我们应用
公式于函数f(x)=ex(这时f′=f′′=f)以及半鞅

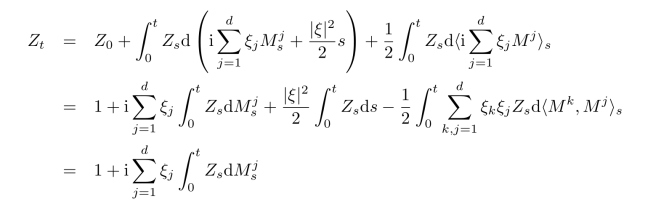
那么

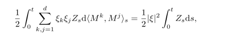
最后一个等号来自

这是根据假设〈Mi,Mj〉s=δijs.因为Z是连续局部鞅且|Zs|=e|ξ|2s/2,故对任何T>0

即由上一章的一个习题推出Z是初值为1的连续平方可积鞅.公式(5.2.12)由鞅性推出对任何t>s,
