§5.2.3 连续局部鞅是Brown运动的时间变换
公式的第三个应用是说明一个连续局部鞅经过某个时间变换后是Brown运动,或者说连续局部鞅和Brown运动相差一个时间变换.
定理5.2.3 (Dambis,Dubins-Schwarz)设概率空间(Ω,F,Ft,P)上初值零的随机过程是满足〈M〉∞=∞的连续局部鞅,令
![]()
那么对任何t≥0,τt是停时,Bt=Mτt是个(Fτt)-Brown运动,且Mt=B〈M〉t.
证明.递增的停时族(τt)t≥0被称为时间变换,因为每个τt都是停时,且显然t→τt是递增的.每个τt都是几乎处处有限的,因为〈M〉∞=∞a.s.由〈M〉t的连续性,
![]()
运用Doob有界停止定理于平方可积(且一致可积)鞅(Ms∧τt)s≥0以及停时τt≥τs(t≥s),我们得到
![]()
i.e.Bt是个(Fτt)-局部鞅.类似的证明应用于鞅(M2s∧τt-〈M〉s∧τt)s≥0推出

练习5.2.2 设f是[0,∞)上初值为零的连续递增函数,且f(∞)=∞.定义
![]()
证明:
(1)f-1右连续且对任何x≥0,有f(f-1(x))=x;
(2)f(y)>x当且仅当y>f-1(x).
另外,因为
![]()
故〈M〉t是(Fτs)-停时且反过来说,连续局部鞅M是某个Brown运动的时间变换,
(https://www.daowen.com)
事实上,让我们回到Brown运动B=(Bt),对k>0和a>0,令

那么
![]()
由此推出σa是指数可积的,精确地说,当s≥-k2/2时,

练习5.2.3 证明(5.2.14).(提示:有很多方法,例如可以用Laplace逆变换公式算σa的密度,也可以用复分析的方法.)
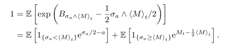
让k=1,我们有
![]()
可以推出

不仅是一个鞅,而且是Doob鞅.
练习5.2.4 证明上面的过程是个Doob鞅,即

现在我们设Bt=Mτt,Gt=Fτt,那么B是(Gt)Brown运动.因为〈M〉t是(Gt)停时,故有

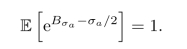
让a↑+∞,由控制收敛定理推出
![]()