▶6.1.1 单元位移函数
一维杆单元只能承受沿杆轴线方向的拉力或压力,并且只有沿杆的轴线方向的位移。

图6.1 一维杆单元
图6.1中为轴线与x轴重合的一个等截面直杆单元,令杆单元的横截面积为A,长度为L,弹性模量E。单元有两个结点,坐标分别为xi和xj(则L=xj-xi),两个结点的位移分别为ui和uj,单元的结点位移可用列阵表示为

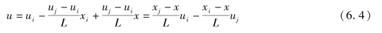
因为单元只有两个结点位移,所以单元位移函数取为坐标的线性函数,即

式中,β1和β2为待定系数,可由单元结点位移条件确定,即当x=xi时,u=ui,当x=xj时,u=uj,这样就有

由式(6.3)解出β1,β2,再将β1,β2代入式(6.2)可得

式(6.4)可写为如下矩阵形式

其中,N=[N1 N2]是形函数矩阵,δe=[uiuj]T是单元结点位移列阵。
N1和N2分别为
