答案速查(试卷Ⅳ)

答案速查(试卷Ⅳ)

图示

二、选择题(1)(B). (2)(C). (3)(C). (4)(C). (5)(D).

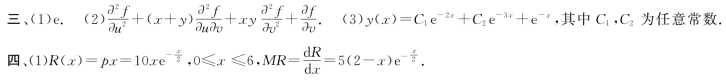
图示

(2)产量为2,最大收益为20e-1,相应的价格为10e-1

(3)图形如图所示.(https://www.daowen.com)

图示

图示

六、证明略. 七、图示

八、(1)t≠5时,向量组α1,α2,α3线性无关. (2)t=5时,向量组α1,α2,α3线性相关. (3)α3=-α1+2α2

图示