(试卷Ⅳ)
一、填空题(本题共5小题,每小题3分,满分15分)
![]()
(2)设f(x)有连续的导数,f(0)=0且f′(0)=b,若函数
在x=0处连续,则常数A=_________.
(3)曲线y=x 2与直线y=x+2所围成的平面图形面积为_______.
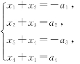
(4)若线性方程组

有解,则常数a 1,a 2,a 3,a 4应满足条件_______.
(5)一射手对同一目标独立地进行4次射击,若至少命中一次的概率为
,则该射手的命中率为_______.
二、选择题(本题共5小题,每小题3分,满分15分)
(1)设函数f(x)=x tan x esin x,则f(x)是
(A)偶函数.(B)无界函数.(C)周期函数.(D)单调函数.
(2)设函数f(x)对任意的x均满足等式f(1+x)=af(x),且有f′(0)=b,其中a,b为非零常数,则
(A)f(x)在x=1处不可导.(B)f(x)在x=1处可导,且f′(1)=a.
(C)f(x)在x=1处可导,且f′(1)=b.(D)f(x)在x=1处可导,且f′(1)=ab.
(3)向量组α1,α2,…,αs线性无关的充分条件是
(A)α1,α2,…,αs均不为零向量.
(B)α1,α2,…,αs中任意两个向量的分量不成比例.
(C)α1,α2,…,αs中任意一个向量均不能由其余s-1个向量线性表示.
(D)α1,α2,…,αs中有一部分向量线性无关.
(4)设A,B为两个随机事件,且B⊂A,则下列式子中正确的是
(A)P(A+B)=P(A).(B)P(AB)=P(A).
(C)P(B|A)=P(B).(D)P(B-A)=P(B)-P(A).
(5)设随机变量X和Y相互独立,其概率分布为

则下列式子正确的是
![]()
三、(本题共4小题,每小题5分,满分20分)(https://www.daowen.com)

(4)求微分方程y′+y cos x=(ln x)e-sin x的通解.
四、(本题满分9分)
某公司可通过电台及报纸两种方式做销售某种商品的广告,根据统计资料,销售收入R(万元)与电台广告费用x 1(万元)及报纸广告费用x 2(万元)之间的关系有如下经验公式
![]()
(1)在广告费用不限的情况下,求最优广告策略;(2)若提供的广告费用为1.5万元,求相应的最优广告策略.
五、(本题满分6分)
设f(x)在闭区间[0,c]上连续,其导数f′(x)在开区间(0,c)内存在且单调减少,f(0)=0,试应用拉格朗日中值定理证明不等式f(a+b)≤f(a)+f(b),其中常数a,b满足条件0≤a≤b≤a+b≤c.
六、(本题满分8分)

(1)a,b为何值时,方程组有解?(2)方程组有解时,求出方程组的导出组的一个基础解系;
(3)方程组有解时,求出方程组的全部解.
七、(本题满分5分)
已知对于n阶方阵A,存在自然数k,使A k=O.试证明矩阵E-A可逆,并写出其逆矩阵的表达式(E为n阶单位阵).
八、(本题满分6分)
设A为n阶矩阵,λ1和λ2是A的两个不同的特征值,x 1,x 2是分别属于λ1和λ2的特征向量.试证明x 1+x 2不是A的特征向量.
九、(本题满分4分)
从0,1,2,…,9等十个数字中任意选出三个不同的数字,试求下列事件的概率:A 1={三个数字中不含0和5};A 2={三个数字中不含0或5};A 3={三个数字中含0但不含5}.
十、(本题满分5分)
一电子仪器由两个部件构成,以X和Y分别表示两个部件的寿命(单位:千小时),已知X和Y的联合分布函数为
![]()
(1)问X和Y是否独立?(2)求两个部件的寿命都超过100小时的概率α.
十一、(本题满分7分)
某地抽样调查结果表明,考生的外语成绩(百分制)近似服从正态分布,平均成绩为72分,96分以上的占考生总数的2.3%,试求考生的外语成绩在60分至84分之间的概率.
[附表](表中Φ(x)是标准正态分布函数)
