7.2.1 半无限开采走向主断面移动和变形的预计
2026年01月14日
7.2.1 半无限开采走向主断面移动和变形的预计
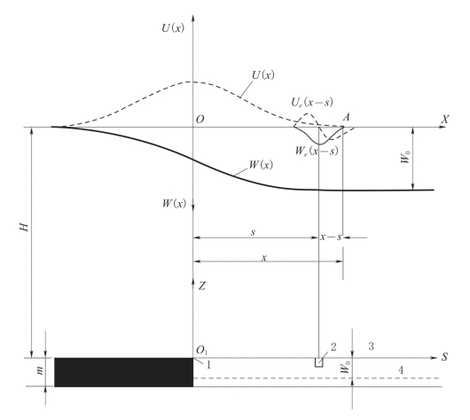
由图7.2可知,当s>0的煤层已经全厚采出;而s<0的煤层全都没有开采,这种情况就称为半无限开采。
如果工作面上开采单元的X轴的坐标为s,采空区地表任意一点的X轴坐标为x,可以推导出地表任意一点的沉陷量为W e(x-s),用(x-s)替代x,可以推导出该单元开采后地表产生的沉陷量。因此,得出半无限开采引起的地表任意一点的沉陷W u(x)为

采空区地表沉陷盆地的沉陷公式为

将式(7-2)代入式(7-1)得到

令采空区煤层平均开采厚度为m,则采空区被采空区覆岩沉陷填充,如果为水平采空区,采空区上顶板的沉陷量为mq,其中q为下沉系数,下沉系数一般比1小;若煤层为倾斜,倾角为α,上顶板收到倾角的影响,其下沉量为mq cosα。对于地表任意一点,假设其横坐标为x,沉陷量W(x)为单位开采厚度所引起该点的沉陷量W u(x)的mq cosα倍。若令

图7.2 半无限开采时地表的下沉和水平移动
1—实际煤壁;2—沉陷后顶板位置;3—开采单元;4—沉陷前顶板位置
推导出
![]()
(https://www.daowen.com)
通过概率积分法可得到

式(7-6)即为倾向达到充分采动时,走向半无限开采引起走向主断面的地表移动变形预计公式。
(1)沿x轴地表表达式为

(2)沿x轴地表曲率表达式为

(3)沿x轴的地表水平移动表达式为
![]()
(4)沿x轴的地表水平变形表达式为

(5)地表最大下沉值表达式为
![]()