【数据记录与处理】

【数据记录与处理】

(1)测量微小伸长量Δn。测量数据填入表2-1,用逐差法计算Δn 的平均值与不确定度。

表2-1 测量微小伸长量 (单位:cm)

img

注 Δ(Δn)是微小伸长量Δn 的平均偏差。这里用平均偏差近似表示不确定度,是一种简化处理方法。

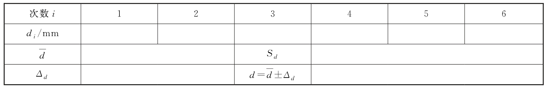
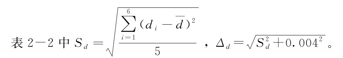
(2)测量钢丝直径d。

表2-2 测 量 钢 丝 直 径 (单位:mm)

img
img

(3)单次测量L、D、b 值,估计不确定度,写出L、D、b 测量结果。

表2-3 L、D、b 的测量 (单位:cm)

img
img