【数据与结果】
2025年09月26日
【数据与结果】
1.标定扭摆扭转常数K
设金属载物圆盘摆动周期为T0,在载物圆盘上放置低塑料圆柱时摆动周期为T盘+柱,金属载物圆盘的转动惯量为I0,低塑料圆柱转动惯量的理论值I柱理,则由式(2-7)得

则扭摆弹簧扭转常数为

低塑料圆柱质量m,直径,则转动惯量
,再由式(2-8)计算K,并填入表2-4。
表2-4 用低塑料圆柱标定扭摆扭转常数K

2.转动惯量测定实验数据
计算转动惯量的理论值、实验值、测量百分误差。计算结果直接写在表2-5 中对应位置。
表2-5 转动惯量测量数据记录表

续表


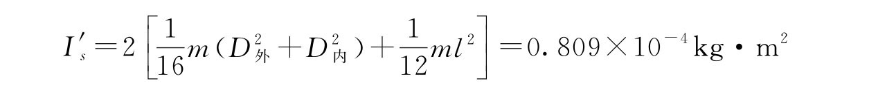
3.验证转动惯量平行轴定理
平行轴定理验证数据记录到表2-6中。
已知:二滑块绕质心轴的转动惯量的理论值

表2-6 平行轴定理验证数据记录表(二滑块质量2m=kg)

续表
