【实验原理】
1.分光计的结构和调整原理
分光计是用来测量角度的光学仪器。要测准入射光和出射光传播方向之间的角度,根据反射定律和折射定律,分光计必须满足下述两个要求:
(1)入射光和出射光应当是平行光。
(2)入射光线、出射光线与反射面(或折射面)的法线所构成的平面应当与分光计的刻度圆盘平行。
为此,任何一台分光计必须备有以下四个主要部件:平行光管、望远镜、载物台、读数装置。如图2-70所示是JJY-1型分光计的外型和结构图。分光计的下部是一个三脚底座,中心竖轴称为分光计的中心轴。轴上装有可绕轴转动的望远镜和载物台。在一个底脚的立柱上装有平行光管。
2.分光计各主要部件的结构及原理的介绍
(1)平行光管。平行光管是提供平行入射光的部件。它是装在柱形圆管一端的一个可伸缩的套筒,套筒末端有一狭缝,筒的另一端装有消色差的会聚透镜。当狭缝恰位于透镜的焦平面上时,平行光管就射出平行光束,如图2-71所示。狭缝的宽度由狭缝宽度调节螺丝调节。平行光管的水平度可用平行光管倾斜度调节螺丝调节,以使平行光管的光轴和分光计的中心轴垂直。
(2)阿贝式自准直望远镜。望远镜是用来观察和确定光束的行进方向,它是由物镜、目镜及分划板组成的一个圆管。常用的目镜有高斯目镜和阿贝目镜两种,都属于自准目镜,JJY-1型分光计使用的是阿贝式自准目镜,所以其望远镜称为阿贝式自准直望远镜,结构如图2-72所示。

图2-70 JJY-1型分光计的外型和结构图
1—小灯;2—分划板套筒;3—目镜;4—目镜筒制动螺丝;5—望远镜倾斜度调节螺丝;
6—望远镜镜筒;7—夹持待测件弹簧片;8—平行光管;9—平行光管倾斜度调节螺丝;
10—狭缝套筒制动螺丝;11—狭缝宽度调节螺丝;12—游标圆盘制动螺丝;
13—游标圆盘微调螺丝;14—放大镜;15—游标圆盘;16—刻度圆盘;17—底座;
18—刻度圆盘制动螺丝;19—刻度圆盘微调螺丝;20—载物小平台;
21—载物台水平调节螺丝;22—载物台紧固螺丝

图2-71 平行光管

图2-72 阿贝自准直望远镜结构
从图2-73中可见,目镜装在A 筒中,分划板装在B筒中,物镜装在C 筒中,并处在C筒的端部。其中分划板上刻划的是“‡”形的准线(不同型号准线不相同),边上粘有一块45°全反射小棱镜,其表面上涂了不透明薄膜,薄膜上刻了一个空心十字窗口,小电珠光从管侧射入后,调节目镜前后位置,可在望远镜目镜视场中看到图2-73中所示的景象。若在物镜前放一平面镜,前后调节目镜(连同分划板)与物镜的间距,使分划板位于物镜焦平面上时,小电珠发出的光,透过空心十字窗口经物镜后成平行光射于平面镜,反射光经物镜后在分划板上形成十字窗口的像。若平面镜镜面与望远镜光轴垂直,此像将落在“‡”准线上部的交叉点上,如图2-73所示。

图2-73 阿贝望远镜光路图
(3)载物小平台。载物小平台(简称载物台)是用来放置待测件的。台上附有夹持待测件弹簧片。台面下方装有三个水平调节螺丝,用来调整台面的倾斜度。这三个螺丝的中心形成一个正三角形。松开载物台紧固螺丝,载物台可以单独绕分光计中心轴转动或升降。拧紧载物台紧固螺丝,它将与游标盘固定在一起。游标盘可用游标圆盘制动螺丝固定。
(4)读数装置。读数装置是由刻度圆盘和游标圆盘组成。刻度圆盘为360°(720个刻度)。所以,最小刻度为半度(30'),小于半度则利用游标读数。游标上刻有30个小格,故游标每一小格对应角度为1'。角度游标读数的方法与游标卡尺的读数方法相似。如图2-74所示的位置,读数窗内游标尺上22与刻度盘上的刻度重合,故读数为149°22'。如图2-75所示读数窗内游标尺上14与刻度盘上的刻度重合,但零线过了刻度的半度线,故读数为149°44'。

图2-74 角游标读数149°22'

图2-75 角游标读数149°44'
两个游标对称放置,是为了消除刻度盘中心与分光计中心轴线之间的偏心差(详见附录)。测量时,要同时记下两游标所示的读数。
望远镜、载物台和刻度圆盘的旋转轴线应该与分光计中心轴线相重合,平行光管和望远镜的光轴线必须在分光计中心轴线上相交,平行光管的狭缝和望远镜中的叉丝应该被它们的光轴线平分。但在分光计的制造过程中总存在一定的误差,为了消除刻度盘与分光计中心轴线之间的偏心差,在刻度圆盘同一直径的两端各装有一个游标。测量时,两个游标都应读数,然后算出每个游标两次读数的差,再取其平均值。这个平均值就可以作为望远镜(或载物台)转过的角度,以消除偏心差。
3.最小偏向角法测折射率
玻璃的折射率可以用很多方法和仪器测定,方法和仪器的选择取决于对测量结果精度的要求。在分光计上用最小偏向角法测定玻璃的折射率,可以达到较高的精度。但此法需把待测材料磨成一个三棱镜。如果是测液体的折射率,可用平面平行玻璃板做一个中空的三棱镜,充入待测的液体,然后用类似的方法进行测量。
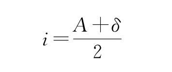
一束平行的单色光,入射到三棱镜的AB 面,经折射后由另一面AC 射出,如图2-76所示。入射光和AB 面法线的夹角i 称为入射角,出射光和AC 面法线的夹角i'称为出射角,入射光和出射光的夹角Δ称为偏向角。理论证明,当入射角i等于出射角i'时,入射光和出射光之间的夹角最小,称为最小偏向角δ。最小偏向角用δ表示。由图2-76可知:


图2-76 单色光经三棱镜折射
其中r 和r'意义如图2-76所示。当i=i'时,由折射定律有

用δ 代替Δ得

又因

其中G 和A 的意义如图2-76所示。
所以

由式(2-69)和式(2-70)得

由折射定律得

由式(2-71)可知,只要测出三棱镜顶角A 和最小偏向角δ,就可以计算出三棱镜玻璃对该波长的入射光的折射率。
顶角A 和最小偏向角δ 由分光计测定。