【数据与结果】

【数据与结果】

实验室给出三棱镜顶角:A=________,分光计仪器误差:Δ=__1'__,光源:汞灯,波长:λ=________nm。

1.测量最小偏向角

表2-28 最小偏向角测量数据

图示

2.计算最小偏向角与三棱镜折射率

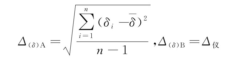
(1)最小偏向角。最小偏向角的A 类不确定度Δ(δ)A与B类不确定度Δ(δ)B计算式如下:(https://www.daowen.com)

图示

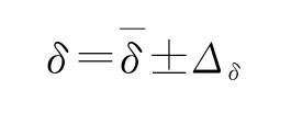
最小偏向角实验结果写成

图示

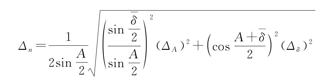
(2)三棱镜折射率。

图示
图示

注意Δn表达式中ΔA、Δδ用弧度进行计算。

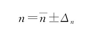
三棱镜材料折射率

图示