【附录】
霍尔器件中的副效应及其消除方法
1.不等势电压V0
这是由于测量霍尔电压的电极A 和A'位置难以做到在一个理想的等势面上,因此当有电流IS通过时,即使不加磁场也会产生附加的电压V0=ISr,其中r 为A、A'所在的两个等势面之间的电阻(图2-67)。V0的符号只与电流IS的方向有关,与磁场B 的方向无关,因此,V0可以通过改变IS的方向予以消除。

图2-67 不等势电压
2.温差电效应引起的附加电压VE
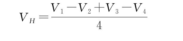
如图2-68所示,由于构成电流的载流子速度不同,若速度为v 的载流子所受的洛伦兹力与霍尔电场力的作用刚好抵消,则速度大于或小于v 的载流子在电场和磁场作用下,将各自朝对立面偏转,从而在Y方向引起温差TA-TA',由此产生温差电效应。在A、A'电极上引入附加电压VE,且EV∝ISB,其符号与IS和B 的方向关系跟VH是相同的,因此不能用改变IS和B 方向的方法予以消除,但其引入的误差很小,可以忽略。
3.热磁效应直接引起的附加电压VN
因器件两端电流引线的接触电阻不等,通电后在接触点两处将产生不同的焦尔热,导致在X 方向有温度梯度,引起载流子沿梯度方向扩散而产生热扩散电流。热流Q 在Z 方向磁场作用下,类似于霍尔效应在Y 方向上产生一附加电场εN,相应的电压VN∝QB,而VN的符号只与B 的方向有关,与IS的方向无关。因此可通过改变B 的方向予以消除。

图2-68 温差电效应引起的附加电压

图2-69 热磁效应产生的温差引起的附加电压
4.热磁效应产生的温差引起的附加电压VRL
如上所述的X 方向热扩散电流,因载流子的速度统计分布,在Z 方向的B 作用下,将在Y 方向产生温度梯度TA-TA',由此引入的附加电压VRL∝QB,VRL的符号只与B 的方向有关,亦能消除之。
综上所述,实验中测得的A、A'之间的电压除VH外还包含V0、VN、VRL和VE各个电压的代数和,其中V0、VN、VRL均可以通过IS和B 换向对称测量法予以消除。
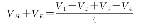
设定电流IS和磁场B 的正方向,即
当+IS,+B 时,测得A、A'之间的电压:V1=VH+V0+VN+VRL+VE
当+IS,-B 时,测得A、A'之间的电压:V2=-VH+V0-VN-VRL-VE
当-IS,-B 时,测得A、A'之间的电压:V3=VH-V0-VN-VRL+VE
当-IS,+B 时,测得A、A'之间的电压:V4=-VH-V0+VN+VRL-VE
求以上四组数据V1、V2、V3、V4的代数平均值,可得

由于VE符号与IS、B 两者方向关系和VH是相同的,故无法消除,但在电流IS和磁场B较小时,VH≫VE,因此,VE可忽略不计,所以霍尔电压为
